算法刷题-环形链表(哈希表、链表)、寻找两个正序数组的中位数(数组、二分查找)、二进制求和(位运算、数学)
环形链表(哈希表、链表)
给定一个链表,判断链表中是否有环。
如果链表中有某个节点,可以通过连续跟踪 next 指针再次到达,则链表中存在环。 为了表示给定链表中的环,我们使用整数 pos 来表示链表尾连接到链表中的位置(索引从 0 开始)。 如果 pos 是 -1,则在该链表中没有环。注意:pos 不作为参数进行传递,仅仅是为了标识链表的实际情况。
如果链表中存在环,则返回 true 。 否则,返回 false 。
进阶:
你能用 O(1)(即,常量)内存解决此问题吗?
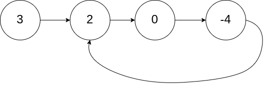
示例 1:

输入:head = [3,2,0,-4], pos = 1 输出:true 解释:链表中有一个环,其尾部连接到第二个节点。
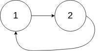
示例 2:

输入:head = [1,2], pos = 0 输出:true 解释:链表中有一个环,其尾部连接到第一个节点。
示例 3:

输入:head = [1], pos = -1 输出:false 解释:链表中没有环。
提示:
- 链表中节点的数目范围是 [0, 104]
- -105 <= Node.val <= 105
- pos 为 -1 或者链表中的一个 有效索引 。
解答:
class ListNode {
int val;
ListNode next;
ListNode(int x) {
val = x;
next = null;
}
}
public class Solution {
public boolean hasCycle(ListNode head) {
if (head == null || head.next == null)
return false;
ListNode fast = head.next;
ListNode slow = head;
while (fast != slow) {
if (fast.next == null || fast.next.next == null)
return false;
fast = fast.next.next;
slow = slow.next;
}
return true;
}
}
寻找两个正序数组的中位数(数组、二分查找)
给定两个大小分别为 m 和 n 的正序(从小到大)数组 nums1 和 nums2。请你找出并返回这两个正序数组的 中位数 。
示例 1:
输入:nums1 = [1,3], nums2 = [2]
输出:2.00000
解释:合并数组 = [1,2,3] ,中位数 2
示例 2:
输入:nums1 = [1,2], nums2 = [3,4]
输出:2.50000
解释:合并数组 = [1,2,3,4] ,中位数 (2 + 3) / 2 = 2.5
示例 3:
输入:nums1 = [0,0], nums2 = [0,0]
输出:0.00000
示例 4:
输入:nums1 = [], nums2 = [1]
输出:1.00000
示例 5:
输入:nums1 = [2], nums2 = []
输出:2.00000
提示:
- nums1.length == m
- nums2.length == n
- 0 <= m <= 1000
- 0 <= n <= 1000
- 1 <= m + n <= 2000
- -106 <= nums1[i], nums2[i] <= 106
**进阶:**你能设计一个时间复杂度为 O(log (m+n)) 的算法解决此问题吗?
以下程序实现了这一功能,请你填补空白处内容:
class Solution {
public double findMedianSortedArrays(int[] nums1, int[] nums2) {
int nums1Size = nums1.length;
int nums2Size = nums2.length;
int na = nums1Size + nums2Size;
int[] ns = new int[4 * na];
int i = 0, j = 0, d = 0;
int m = na / 2 + 1;
while (d < m) {
int n = 0;
_________________;
ns[d++] = n;
}
if (na % 2 == 1) {
return ns[d - 1];
}
return (ns[d - 1] + ns[d - 2]) / 2.0;
}
}
解答:
if (i < nums1Size && j < nums2Size) {
n = (nums1[i] < nums2[j]) ? nums1[i++] : nums2[j++];
} else if (i < nums1Size) {
n = nums1[i++];
} else if (j < nums2Size) {
n = nums2[j++];
}
二进制求和(位运算、数学)
给你两个二进制字符串,返回它们的和(用二进制表示)。
输入为 **非空 **字符串且只包含数字 1 和 0。
示例 1:
输入: a = "11", b = "1"
输出: "100"
示例 2:
输入: a = "1010", b = "1011"
输出: "10101"
提示:
- 每个字符串仅由字符 ‘0’ 或 ‘1’ 组成。
- 1 <= a.length, b.length <= 10^4
- 字符串如果不是 “0” ,就都不含前导零。
解答:
class Solution {
public String addBinary(String a, String b) {
StringBuffer s1 = new StringBuffer(a);
s1.reverse();
StringBuffer s2 = new StringBuffer(b);
s2.reverse();
if (s1.length() > s2.length()) {
int n = s1.length() - s2.length();
for (int i = 0; i < n; i++) {
s2.append('0');
}
} else if (s1.length() < s2.length()) {
int n = s2.length() - s1.length();
for (int i = 0; i < n; i++) {
s1.append('0');
}
}
StringBuffer stringBuffer = new StringBuffer("");
int i = 0;
char flag = '0';
while (i < s1.length() && i < s2.length()) {
if (flag == '0') {
if (s1.charAt(i) == s2.charAt(i) && s1.charAt(i) == '1') {
flag = '1';
stringBuffer.append('0');
} else if (s1.charAt(i) == s2.charAt(i) && s1.charAt(i) == '0') {
stringBuffer.append('0');
} else {
stringBuffer.append('1');
}
} else {
if (s1.charAt(i) == s2.charAt(i) && s1.charAt(i) == '1') {
flag = '1';
stringBuffer.append('1');
} else if (s1.charAt(i) == s2.charAt(i) && s1.charAt(i) == '0') {
flag = '0';
stringBuffer.append('1');
} else {
flag = '1';
stringBuffer.append('0');
}
}
i++;
}
if (flag == '1') {
stringBuffer.append(flag);
}
stringBuffer.reverse();
return stringBuffer.toString();
}
}
本文内容到此结束了,
如有收获欢迎点赞👍收藏💖关注✔️,您的鼓励是我最大的动力。
如有错误❌疑问💬欢迎各位大佬指出。
保持热爱,奔赴下一场山海。🏃🏃🏃
- 点赞
- 收藏
- 关注作者
评论(0)