外观数列(字符串)、用队列实现栈、二叉树的序列化与反序列化(树、深度优先搜索)
外观数列(字符串)
给定一个正整数 n ,输出外观数列的第 n 项。
「外观数列」是一个整数序列,从数字 1 开始,序列中的每一项都是对前一项的描述。
你可以将其视作是由递归公式定义的数字字符串序列:
- countAndSay(1) = “1”
- countAndSay(n) 是对 countAndSay(n-1) 的描述,然后转换成另一个数字字符串。
前五项如下:
-
1 -
11 -
21 -
1211 -
111221
第一项是数字 1
描述前一项,这个数是 1 即 “ 一 个 1 ”,记作 “11”
描述前一项,这个数是 11 即 “ 二 个 1 ” ,记作 “21”
描述前一项,这个数是 21 即 “ 一 个 2 + 一 个 1 ” ,记作 “1211”
描述前一项,这个数是 1211 即 “ 一 个 1 + 一 个 2 + 二 个 1 ” ,记作 “111221”
要 描述 一个数字字符串,首先要将字符串分割为 最小 数量的组,每个组都由连续的最多 相同字符 组成。然后对于每个组,先描述字符的数量,然后描述字符,形成一个描述组。要将描述转换为数字字符串,先将每组中的字符数量用数字替换,再将所有描述组连接起来。
例如,数字字符串 “3322251” 的描述如下图:

示例 1:
输入:n = 1
输出:“1”
解释:这是一个基本样例。
示例 2:
输入:n = 4
输出:“1211”
解释:
countAndSay(1) = “1”
countAndSay(2) = 读 “1” = 一 个 1 = “11”
countAndSay(3) = 读 “11” = 二 个 1 = “21”
countAndSay(4) = 读 “21” = 一 个 2 + 一 个 1 = “12” + “11” = “1211”
提示:
- 1 <= n <= 30
解答:
class Solution {
public String countAndSay(int n) {
String pre = "1";
for (int i = 1; i < n; i++) {
StringBuilder temp = new StringBuilder();
char c = pre.charAt(0);
int cnt = 1;
for (int j = 1; j < pre.length(); j++) {
char cc = pre.charAt(j);
if (c == cc) {
cnt++;
} else {
temp.append(cnt).append(c);
cnt = 1;
c = cc;
}
}
temp.append(cnt).append(c);
pre = temp.toString();
}
return pre;
}
}
用队列实现栈
请你仅使用两个队列实现一个后入先出(LIFO)的栈,并支持普通栈的全部四种操作(push、top、pop 和 empty)。
实现 MyStack 类:
- void push(int x) 将元素 x 压入栈顶。
- int pop() 移除并返回栈顶元素。
- int top() 返回栈顶元素。
- boolean empty() 如果栈是空的,返回 true ;否则,返回 false 。
注意:
- 你只能使用队列的基本操作 —— 也就是 push to back、peek/pop from front、size 和 is empty 这些操作。
- 你所使用的语言也许不支持队列。 你可以使用 list (列表)或者 deque(双端队列)来模拟一个队列 , 只要是标准的队列操作即可。
示例:

提示:
- 1 <= x <= 9
- 最多调用100 次 push、pop、top 和 empty
- 每次调用 pop 和 top 都保证栈不为空
**进阶:**你能否实现每种操作的均摊时间复杂度为 O(1) 的栈?换句话说,执行 n 个操作的总时间复杂度 O(n) ,尽管其中某个操作可能需要比其他操作更长的时间。你可以使用两个以上的队列。
解答:
class MyStack {
private Queue<Integer> queue;
/** Initialize your data structure here. */
public MyStack() {
queue = new LinkedList<>();
}
/**
* 在添加数据的时候进行翻转
*/
/** Push element x onto stack. */
public void push(int x) {
Queue<Integer> temp = new LinkedList<>();
while (!queue.isEmpty()) {
temp.add(queue.poll());
}
queue.add(x);
while (!temp.isEmpty()) {
queue.add(temp.poll());
}
}
/** Removes the element on top of the stack and returns that element. */
public int pop() {
return queue.poll();
}
/** Get the top element. */
public int top() {
return queue.peek();
}
/** Returns whether the stack is empty. */
public boolean empty() {
return queue.isEmpty();
}
}
二叉树的序列化与反序列化(树、深度优先搜索)
序列化是将一个数据结构或者对象转换为连续的比特位的操作,进而可以将转换后的数据存储在一个文件或者内存中,同时也可以通过网络传输到另一个计算机环境,采取相反方式重构得到原数据。
请设计一个算法来实现二叉树的序列化与反序列化。这里不限定你的序列 / 反序列化算法执行逻辑,你只需要保证一个二叉树可以被序列化为一个字符串并且将这个字符串反序列化为原始的树结构。
**提示: **输入输出格式与 LeetCode 目前使用的方式一致,详情请参阅 LeetCode 序列化二叉树的格式(/faq/#binary-tree)。你并非必须采取这种方式,你也可以采用其他的方法解决这个问题。
示例 1:

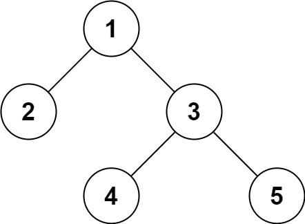
输入:root = [1,2,3,null,null,4,5] 输出:[1,2,3,null,null,4,5]
示例 2:
输入:root = [] 输出:[]
示例 3:
输入:root = [1] 输出:[1]
示例 4:
输入:root = [1,2] 输出:[1,2]
提示:
- 树中结点数在范围 [0, 104] 内
- -1000 <= Node.val <= 1000
解答:
class Solution {
public String serialize(TreeNode root) {
if (root == null)
return "[]";
ArrayList<TreeNode> queue = new ArrayList<>();
queue.add(root);
for (int i = 0; i < queue.size(); i++) {
TreeNode node = queue.get(i);
if (node == null)
continue;
if (node.left != null)
queue.add(node.left);
if (node.right != null)
queue.add(node.right);
}
while (queue.get(queue.size() - 1) == null) {
queue.remove(queue.size() - 1);
}
StringBuilder sb = new StringBuilder();
sb.append("[");
sb.append(queue.get(0));
for (int i = 1; i < queue.size(); i++) {
if (queue.get(i) == null) {
sb.append(",");
sb.append("null");
} else {
sb.append(",");
sb.append(queue.get(i).val);
}
}
sb.append("]");
return sb.toString();
}
public TreeNode deserialize(String s) {
if (data.equals("[]"))
return null;
String[] vals = data.substring(1, data.length() - 1).split(",");
ArrayList<TreeNode> queue = new ArrayList<>();
TreeNode root = new TreeNode(Integer.parseInt(vals[0]));
queue.add(root);
int index = 0;
boolean left = true;
for (int i = 1; i < vals.length; i++) {
if (!vals[i].equals("null")) {
TreeNode node = new TreeNode(Integer.parseInt(vals[i]));
if (left) {
queue.get(index).left = node;
} else {
queue.get(index).right = node;
}
}
if (!left)
index++;
left = !left;
}
return root;
}
}
本文内容到此结束了,
如有收获欢迎点赞👍收藏💖关注✔️,您的鼓励是我最大的动力。
如有错误❌疑问💬欢迎各位大佬指出。
保持热爱,奔赴下一场山海。🏃🏃🏃
- 点赞
- 收藏
- 关注作者
评论(0)