秒懂算法 | 哈夫曼编码贪心算法

讲解哈夫曼编码算法的贪心策略及正确性证明。
哈夫曼编码是一种变长码编码方式,该编码方式是数学家D.A.Huffman于1952年提出,其完全依据字符出现频率来构造平均长度最短的码字。简言之,哈夫曼编码算法是用字符出现的频率来建立一个用0-1串表示各字符的最优表示方式,有时称之为最佳编码,一般就叫作Huffman编码。
01、问题分析——贪心策略
首先,仔细研究编码方案的二叉树结构,不难发现以下4点。
(1) 树的叶子节点为字符。
(2) 从根到叶子的路径经过的01串为相应字符的编码。
(3) 编码长度为该字符在二叉树中的深度。
(4) 编码方案满足前缀码性质。
其次,研究编码方案优劣的衡量标准。平均每个字符的码长,引入平均码长的概念。所谓平均码长指的是编码方案中平均每个字符的码长。
设字符集C,任意一个字符c∈C,出现的频率为f(c),在二叉树T中的深度为dT(c)(即字符编码的长度),二叉树T表示的编码方案平均码长为B(T),则:

哈夫曼编码是使平均码长为最短的编码方式。哈夫曼以字符的使用频率做权构建一棵哈夫曼树,然后利用哈夫曼树对字符进行编码。核心思想是:频率越大的字符离树根越近。
算法的贪心策略是:从树的集合中选取两个频率最低的字符,使其作为左右子树构造一棵新树,父节点的频率为左右节点频率之和,然后将新树插入到树的集合中。
02、算法设计
1●设计思想
输入:字符集C={c1,c2,…,cn}及字符出现的频率f(ci),i=1,2,…,n。
输出:哈夫曼树Q。
首先将字符集中的每个字符看作一棵只含有根节点的树,构造一个n棵树构成的树的集合Q;然后做n-1次贪心选择,每次都选择两个出现频率最小的节点,让其作为左右子树构造一棵新树,将新树插入到树的集合Q中。直到Q中只含有一棵树为止。
从树根深度优先遍历,左子树输出0、右子树输出1,搜索到叶子节点就得到了叶子字符的编码。
2●算法伪码
算法:Huffman(C)

3●正确性证明
设C是字符集,任意一个字符c的频率为f(c);x、y是C中具有最小频率的两个字符。
(1) 贪心选择性质——存在从贪心选择开始的最优解。
需证明存在字符集C的一个最优前缀码方案T,使得x、y具有相同的码长,且最后一位编码不同。
如果T中,x、y是最深的叶子且互为兄弟,那么T就是贪心选择开始的最优前缀码;
如果T中,x、y不是最深的叶子,也不是兄弟,那么设T中字符b、c是最深的叶子且互为兄弟,如图1所示。
由于x,y是字符集C中频率最小的两个字符,所以有f(x)≤f(b)、f(x)≤f(c)、f(y)≤f(b)、f(y)≤f(c),交换树T中的字符x和字符b得到树T′,如图2所示。

■ 图1 树T结构示意图 ■ 图2 树T′结构示意
在树T和T′中,只有x、b两个字符深度发生变化,其他字符深度都没有变,所以:

又f(x)-f(b)≤0,dT(x)-dT(b)≤0,
故B(T)-B(T′)≥0,B(T)≥B(T′)。
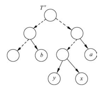
再交换字符y和字符a,得到树T″,如图3所示。

■ 图3 树T″结构示意
同理可以证明B(T′)≥B(T″),由此B(T)≥B(T″)。
又因为T是字符集C的最优前缀码,所以B(T)≤B(T″)。所以B(T)=B(T″),T″中,x、y字符处于最深处且互为兄弟,是从贪心选择开始的最优解。
(2) 最优子结构性质——整体最优解一定包含子问题的最优解。
设T是字符集C的最优前缀码,令f(z)=f(x)+f(y),则T′是字符集C′=C-{x,y}+{z}的最优前缀码。
需要证明T′是字符集C′=C-{x,y}+{z}的最优前缀码。
证明: 假设T′不是字符集C′的最优前缀码,则设T″是字符集C′的最优前缀码,B(T′)>B(T″)。
将字符x、y加入到T″中,作为字符z的孩子,构成的树为T"',则有T"'是字符集C的一种编码方案。
对任意字符c∈C-{x,y},有dT(c)=dT′(c),故f(c)dT(c)=f(c)dT′(c),另一方面dT(x)=dT(y)=dT(z)+1。
则

由此,可以知道,B(T)=B(T′)+f(x)+f(y),同理有B(T'″)=B(T″)+f(x)+f(y)。
由于B(T′)>B(T″),所以B(T)>B(T'″)。
这说明T不是字符集C的最优前缀码,这与T是字符集C的最优前缀码矛盾,假设不真,得证。
- 点赞
- 收藏
- 关注作者
评论(0)