算法题解-只出现一次的数字、输出每天是应该学习还是休息还是锻炼、将有序数组转换为二叉搜索树
【摘要】 只出现一次的数字(位运算、数组)给定一个非空整数数组,除了某个元素只出现一次以外,其余每个元素均出现两次。找出那个只出现了一次的元素。说明:你的算法应该具有线性时间复杂度。 你可以不使用额外空间来实现吗?示例 1:输入: [2,2,1] 输出: 1示例 2:输入: [4,1,2,1,2] 输出: 4解答:class Solution { public int singleNumber...
只出现一次的数字(位运算、数组)
给定一个非空整数数组,除了某个元素只出现一次以外,其余每个元素均出现两次。找出那个只出现了一次的元素。
说明:
你的算法应该具有线性时间复杂度。 你可以不使用额外空间来实现吗?
示例 1:
输入: [2,2,1] 输出: 1
示例 2:
输入: [4,1,2,1,2] 输出: 4
解答:
class Solution {
public int singleNumber(int[] nums) {
int res = 0;
for (int num : nums) {
res ^= num;
}
return res;
}
}
输出每天是应该学习还是休息还是锻炼(数学)
30天中,从第一天开始五天学习,一天休息、一天锻炼,输出每天是应该学习还是休息还是锻炼
public class HelloWorld {
public static void main(String []args) {
int n1=0,n2=0,n3=0,i;
for(i=1;i<=30;i++){
if(n1<5){
System.out.println("学习");
n1++;
continue;
}
else{
System.out.println("休息");
System.out.println("锻炼");
n1=0;
i++;
}
}
}
}
将有序数组转换为二叉搜索树(树、二叉搜索树)
给你一个整数数组 nums ,其中元素已经按 升序 排列,请你将其转换为一棵 高度平衡 二叉搜索树。
**高度平衡 **二叉树是一棵满足「每个节点的左右两个子树的高度差的绝对值不超过 1 」的二叉树。
示例 1:

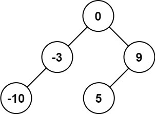
输入:nums = [-10,-3,0,5,9] 输出:[0,-3,9,-10,null,5] 解释:[0,-10,5,null,-3,null,9] 也将被视为正确答案:
示例 2:

输入:nums = [1,3] 输出:[3,1] 解释:[1,3] 和 [3,1] 都是高度平衡二叉搜索树。
提示:
- 1 <= nums.length <= 104
- -104 <= nums[i] <= 104
- nums 按 严格递增 顺序排列
解答:
public class TreeNode {
int val;
TreeNode left;
TreeNode right;
TreeNode() {
}
TreeNode(int val) {
this.val = val;
}
TreeNode(int val, TreeNode left, TreeNode right) {
this.val = val;
this.left = left;
this.right = right;
}
}
class Solution {
public TreeNode sortedArrayToBST(int[] nums) {
return traversal(nums, 0, nums.length - 1);
}
public TreeNode traversal(int[] nums, int left, int right) {
if (left > right)
return null;
int mid = left + ((right - left) / 2);
TreeNode node = new TreeNode(nums[mid]);
node.left = traversal(nums, left, mid - 1);
node.right = traversal(nums, mid + 1, right);
return node;
}
}
本文内容到此结束了,
如有收获欢迎点赞👍收藏💖关注✔️,您的鼓励是我最大的动力。
如有错误❌疑问💬欢迎各位大佬指出。
保持热爱,奔赴下一场山海。🏃🏃🏃
【声明】本内容来自华为云开发者社区博主,不代表华为云及华为云开发者社区的观点和立场。转载时必须标注文章的来源(华为云社区)、文章链接、文章作者等基本信息,否则作者和本社区有权追究责任。如果您发现本社区中有涉嫌抄袭的内容,欢迎发送邮件进行举报,并提供相关证据,一经查实,本社区将立刻删除涉嫌侵权内容,举报邮箱:
cloudbbs@huaweicloud.com
- 点赞
- 收藏
- 关注作者
评论(0)