王者荣耀ELO机制分析及避免措施
ELO机制的研究及避免方式

王者荣耀加分公式:
Grades(new)是玩家比赛结束后的新的排位分值。
Grades(old)是比赛前玩家的排位分。
K是一个加成系数,由玩家当前分值水平决定(分值越高K越小)。
Result是玩家实际对局结果得分(赢=1,输=0)。
WinRate是预期胜率。
王者荣耀ELO机制计算公式:

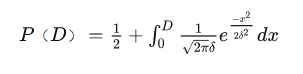
(P(D)为预期胜率, D为两者的分差,其中x代表选手的实力平均水平,δ代表实力的稳定性。)
选手平均水平和实力稳定性:
这两个数值则是根据历史场次KDA,属性数值,以及活跃度,生存时间,对局开始时间等一系列大数据进行评估,对应着一系列评测算法,这里就不一一罗列。

ELO机制避免方法:
分析:
从以上机制我们可以发现,想要加分多,有两种方式。
一是玩转加分机制使得加分更多,扣分更少。
二是弄清ELO机制,来尽可能避开ELO机制的制裁。
利用加分机制:
1.K一般由玩家发挥来决定,但计算公式却有一个致命的缺陷,亲测王者荣耀也暂时未得到缺陷修正!
根据:
我们明显发现,假设此对局落败,胜率恒定,自身发挥较好,即败方SVP,将会导致K系数较高,根据计算公式,分数反而扣分越多,相反,如果此局落败,自己发挥很烂,k值偏小,扣分偏小。为了防止扣分更多,如果觉得对局可能会输,请直接摆烂。(同时,降低自身实力系数K,也会导致ELO匹配机制匹配更强的队友在下一局)
总结:
如果觉得对局能赢,拼尽全力拿MVP使得K最大,加分最多。如果觉得对局会输,直接摆烂,尽量让自己K值降到最低,同时减少扣分。
利用ELO机制:
1.匹配策略:
以5v5排位对局匹配为例:
0-N1秒内,仅匹配分差在X1以内的对手。
若N1秒内未找到满足条件对手,则会向上优先放宽匹配条件,匹配高出你X2内的对手,若N1秒没找到,
则继续循环,并向上优先放宽条件。
2.这中匹配机制将会导致,等的越久,对手越强,胜率越低。
3.匹配隐藏分,跟活跃度,历史战绩,上场发挥,胜率都有关系:
活跃度越低,分越低,历史战绩越差,分越低,胜率越低,分越低。
总结:
1.尽量一天少玩几把,降低活跃度。
2.连胜之后遇到第一把失败对局,不要继续对局。直接第二天再打。
3.如果连胜后遇到匹配时间较长,应取消重新排,取消重新排,避免匹配机制向上放宽条件,导致对局难度的加大。

最后,小康祝大家峡谷连胜^-^
- 点赞
- 收藏
- 关注作者
评论(0)