【数字信号去噪】基于matlab粒子群算法优化VMD分解分量选择数字信号降噪【含Matlab源码 1979期】
一、获取代码方式
获取代码方式1:
完整代码已上传我的资源:【数字信号去噪】基于matlab粒子群算法优化VMD分解分量选择数字信号降噪【含Matlab源码 1979期】
获取代码方式2:
通过订阅紫极神光博客付费专栏,凭支付凭证,私信博主,可获得此代码。
备注:
订阅紫极神光博客付费专栏,可免费获得1份代码(有效期为订阅日起,三天内有效);
二、粒子群算法优化VMD简介
1 VMD概述
VMD是一种非递归、自适应分解,利用迭代搜索变分模型最优解确定每个分解的分量中心频率及带宽[11]。VMD算法将一个实际输入信号分解成若干个独立模态uk,定义为

对每个模态进行Hillbert变换得单边频谱

通过指数修正调制到相应的基频带

通过高斯平滑解调信号得到各模态带宽

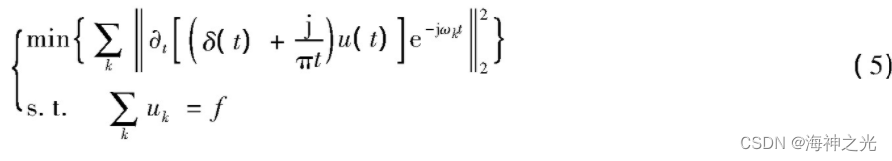
VMD的约束变分模型

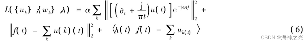
利用二次惩罚项和拉格朗日乘子法的优势,引入增广函数

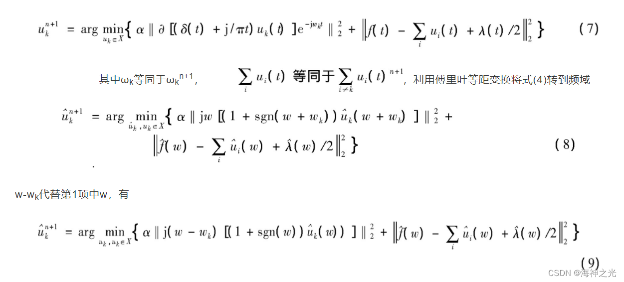
其中α为惩罚参数,λ为Lagrange乘子,利用交替方向乘子算法进行一系列迭代寻找最优解,从而将信号分解成K个分量,其中ukn+1取值问题描述为

二次优化问题解为

2 粒子群优化VMD算法
1)参数初始化;
2)粒子初始化:初始化速度和位置,以包络熵均值最小为适应度值,VMD分解计算适应度函数;
3)记录个体最优和所有粒子适应度函数最小值为群体最优;
4)根据公式更新惯性权重、学习因子、速度、位置和重构粒子;
- VMD计算适应度值,与之前记忆的种群最优和个体最优作对比,如果比这两者还小则为新的种群或个体最优,若比之大,则不更新记录;
6)达到最大迭代次数结束。
三、部分源代码
%% 基于粒子群算法(Particle Swarm Optimization Algorithm)
%% 的经验模态分解的信号去燥算法研究
clc
clear all
close all
n=1024;
fs=1024;
t=(0:1:n-1)/fs;
s=sin(2*pi*16*t);
% some sample parameters for VMD
alpha = 2000; % moderate bandwidth constraint
tau = 0; % noise-tolerance (no strict fidelity enforcement)
K = 4; % 4 modes
DC = 0; % no DC part imposed
init = 1; % initialize omegas uniformly
tol = 1e-7;
%计算信号强度,信号强度就是信号能量,等于信号取值的平方/信号长度
% sigpower=sum(abs(s(:).^2))/length(s(:));
%设置信噪比(linear)
% snr=100;
%产生噪声
% noise=sqrt(sigpower/snr)*3*randn(1,n);%randn产生均值为零,标准差为前面系数的高斯白噪声
% y=s+noise;
y=awgn(s,10,'measured','db');
%% 噪声信号EMD分解
imf=emd(y);
%--------------- Run actual VMD code
[u, u_hat, omega] = VMD(y, alpha, tau, K, DC, init, tol);
[m,n]=size(u);
nVar=m-1;%变量维数
% % CPSO 参数
c1 =1.4495;
c2 =1.4495;
%w=1;
Vmin = -1;
Vmax = 1;
maxiter = 100; % 迭代次数
sizepop = 10; % 种群数量
popmin = zeros(1,nVar); % 参数取值下界
popmax = ones(1,nVar); % 参数取值上界
% % 初始化种群
for i=1:sizepop
%pop(i,:) = init_individual(popmin,popmax,nVar,1); % 随机初始化个体
pop(i,:)=popmin + (popmax-popmin).*round(rand(1,nVar));
fitness(i) = EMD_fun(pop(i,:),s,imf,nVar);
V(i,:)=Vmin+(Vmax-Vmin)*round(rand(1,nVar));
end
% 记录一组最优值
[bestfitness,bestindex]=min(fitness);
zbest=pop(bestindex,:); % 全局最佳
gbest=pop; % 个体最佳
fitnessgbest=fitness; % 个体最佳适应度值
fitnesszbest=bestfitness; % 全局最佳适应度值
% 迭代寻优
for i=1:maxiter
% 云理论优化的PSO的权值
%fbest = fitnesszbest;
% favg = mean( fitness );
% index=[];index = find(fitness>favg);
% favg1 = mean( fitness(index) );
% index=[];index = find(fitness<=favg);
% favg2 = mean( fitness(index) );
for j=1:sizepop
% if fitness(j)>favg1
% w=0.2;
% elseif fitness(j)>favg2 && fitness(j)<=favg1
% Ex = fbest;
% En = (favg-fbest)/c1;
% He = En/c2;
% En1 = normrnd( En,He );
% w = 0.9-0.5*exp( -(fitness(j)-Ex).^2/2/En1/En1 );
% else
% w = 0.9;
% end
- 1
- 2
- 3
- 4
- 5
- 6
- 7
- 8
- 9
- 10
- 11
- 12
- 13
- 14
- 15
- 16
- 17
- 18
- 19
- 20
- 21
- 22
- 23
- 24
- 25
- 26
- 27
- 28
- 29
- 30
- 31
- 32
- 33
- 34
- 35
- 36
- 37
- 38
- 39
- 40
- 41
- 42
- 43
- 44
- 45
- 46
- 47
- 48
- 49
- 50
- 51
- 52
- 53
- 54
- 55
- 56
- 57
- 58
- 59
- 60
- 61
- 62
- 63
- 64
- 65
- 66
- 67
- 68
- 69
- 70
- 71
- 72
- 73
- 74
- 75
- 76
- 77
- 78
- 79
- 80
- 81
- 82
四、运行结果


五、matlab版本及参考文献
1 matlab版本
2014a
2 参考文献
[1] 杜颖,李宏,刘庆强,路敬祎,李富.PSO-VMD-SVD的改进去噪方法研究[J].吉林大学学报(信息科学版). 2021,39(02)
3 备注
简介此部分摘自互联网,仅供参考,若侵权,联系删除
文章来源: qq912100926.blog.csdn.net,作者:海神之光,版权归原作者所有,如需转载,请联系作者。
原文链接:qq912100926.blog.csdn.net/article/details/125770063
- 点赞
- 收藏
- 关注作者
评论(0)