加密数字艺术背后你关心的几个问题
Connect Wallet
这是Web3中非常流行的一句话,其实也是Web3的核心要义,即“以用户为中心”。将身份主权、数据主权、数据权益等都归还给用户,身份的解释、移植,数据的确权、授权、使用等都需要各个服务通过“链接”用户的“钱包”来完成。以区块链为基础设施构筑上层应用,是实现这一能力的重要保障。
什么是数字资产?
在我看来,数字资产是Web3世界中标记数据资产独特性的标识,是数据权益的载体。不论是数字化的画作,桌椅、服装、汽车飞机等(有实物的),还是数字化的身份凭证、产权、公司品牌等(逻辑产物)都可以是数字资产。
独特性的标识为什么这么重要呢?因为它能将其指代的物品和其他同类物品区分开。 为了进一步理解,首先要明确,有些物品是非同质的(Non-Fungible)需要被区分开的,例如房屋产权和艺术作品。有些物品是同质的,不需要被区分开,例如人民币和app积分,尽管有不同的编码,但编码不影响互相替换,因为面值一样;其次要区分开标识和标的物,标的物可以是区块链上原生的数据或者本身是数字化的,也可以是物理世界实际存在的物品,标识则是标的物在数字世界中的映射。
在数字世界中,“标识”将完成“标的物”独特性的指代和“标的物”价值承载的使命。例如一个艺术家将数字作品发布在社交平台,其作品会很快被复制多份,每一幅作品逐渐趋于同质化,没有区别。画作的价值也会越来越低,且没有人会知道画作的原作者是谁。但在Web3中,艺术家就可以通过数字资产低成本的保证作品的独特性和价值,数字资产中会有作品铸造时间、创建者、和当前所有者。只要是晚于铸造时间发布的都为抄袭者,画作所有权每次流转都可以承载不同的价值属性,无论流转多次都知道原作者谁。

数字藏品和数字资产的什么关系
数字藏品属于数字资产的一种
数字资产和NFT的区别是什么
NFT(Non-Fungible Token)是以太坊ERC-721提出后,逐渐被大家认可的数字资产标准之一。
随着数字资产使用场景的不断丰富,使用人群不断扩大,数字资产标准体系将会不断完善。
数字资产能用来做什么?
海外市场数字资产产业布局完善,行业竞争激烈。数字资产以交易平台和时尚社交为主,收藏、游戏、金融等同步发展。国内以数字藏品收藏和企业数字营销为主,逐步开始尝试数字人、游戏等。除此之外,数字资产的应用场景还包括体育、文物和历史、音乐、票务等访问授权类。
- 收藏品
稀缺性是收藏品的重要属性。区块链的不可篡改以及数字资产本身的不可分割保证了数字藏品独特性。与球卡和邮票一样,数字收藏品的藏家会收藏他们认为有价值的数字产品以表示对某一公司、品牌或者游戏支持。有别于实物,无需运输时间,维护成本等开销。只需几秒完成转移,且永远不会折旧。CryptoPunks是以太坊上推出的最早的数字资产藏品,类似的国内多家互联网平台联合博物馆、航天局等单位,发行了多款数字藏品,例如“故宫故苑”和“航天文创”。
- 游戏
数字资产是区块链游戏的基础,可以作为数字游戏世界中成就或游戏物品的所有权证书。移独一无二游戏物品(道具、头像、皮肤、角色等)归玩家所有,且无需托管,不受发行商控制。这些数字资产的寿命会比游戏平台本身更长,一方面玩家可以永久收藏,另一方面也可以移植到游戏之外其他平台,实现游戏投入变现。
- 数字营销
数字资产“限量发行、独一无二”本身就是一种最好的饥饿营销手段,不定期的赋予每个资产新的权益,发布新的玩法和活动也都是很好的营销策略。还可以基于数字资产维护会员制度、增强用户粘性,完成破圈整合。国内有个很有趣、很有现实意义的的实践。福建省四坪村通过数字资产吸引“云村民”并赋予权益,赋能乡村振兴。每一位数字藏品持有者可以作为村民享受多项权益,如享有家宴1次。不同时间不同事件还会解锁新的藏品及权益,丰富有趣。
- 艺术品
在众多的艺术品中,我们以音乐为例,音乐产业是一个超级明星经济, 好的作品诞生涉及音乐人、唱片公司、娱乐公司、经纪人等。数字资产可以帮助音乐人收益自主、拓宽收入来源;公平解决所有制作人员间的版税问题,交易中的数字所有权问题等。
除此之外,数字资产音乐平台的用户运营,音乐演出的票务活动,知识产权保护等都已有很多创新项目在实践。
什么是数字资产链?
随着数字资产的火热,国内数字藏品发行平台百花齐放,市场繁荣的背后是各大技术供应商在提供底层区块链和数字资产管理等相关技术能力,以联盟链为主,公链为辅。
华为云数字资产链(Digital Asset Chain)是华为云自研的数字资产链平台,基于华为云区块链引擎,可实现数字资产的确权、可信保存、安全交易。
-
自研可控
自研底层技术,自主可控。提供通用数字资产管理能力,用户可自由定制构建业务场景。 -
安全可信
金融级安全环境,保障区块链、合约服务稳定可靠运行、数字资产可靠流转。 -
超高性能
支持五万次/秒并发链上数字资产创建,支持百亿级数字资产发行流转。 -
简单易用
仅需API对接即可快速完成数字内容交易平台开发,实现数字内容全生命周期管理。
数字资产背后的价值是什么?
很多人会疑问我领到的头像图片,别人复制后也可以使用,那所谓的独一无二的价值如何体现呢?
这个问题背后的原因是因为,我们将基于区块链的数字资产头像应用在了传统的web2.0应用中。原创作者和收藏者的创作权、所有权被隐藏掉了。 随着基于区块链的应用越来越多,或者对接使用区块链的服务越来越多的时候,作者的创作权和收藏者的所有权将得到有效证明,基于此会发挥其多元的价值。
例如新生社区和welink服务,将统一的数字资产链接入账号体系。限制只有数字头像资产的所有者登录后,才可以设置使用或者转赠授予该头像。
值得一提的是,Twitter Blue近期已经推出了数字资产头像验证功能。
数字资产背的技术是什么?
知道了数字资产是什么?能用来做什么? 我们再来了解一下数字资产背后的技术都有哪些。
- 区块链
区块链是实现数字资产的重要底座,赋予了数字资产不可篡改、所有权明确、流转可追溯等特性。区块链融合了多种技术,包括密码学(加密算法、安全协议)、分布式共识算法(拜占庭或非拜占庭)、P2P网络通讯、智能合约、激励机制等。
应用的繁荣必将带动技术的生长。数字资产应用的快速增长,大量用户接入区块链完成数字资产的铸造发行、授权、流转等。这对传统的底层区块链提出了新的挑战和要求。
具备统一的链上用户身份标识,支持跨链、链跨应用的数字资产所属权管理。
允许千级、万级节点接入,支持数字资产平台发行方等加入链生态的构建与维护。
高吞吐,高并发的共识和记账能力,可以支撑数字资产应用活动的峰值流量。
- 智能合约协议
ERC(Ethereum Request for Common)“版本征求意见稿”是以太坊社区的开发者共同编写的,用来记录以太坊上应用级的各种开发标准和协议。其中一些技术标准和协议也逐渐成为了区块链应用的事实规范。
我们常提到的数字资产就是在ERC-721标准提出后才开始普及流行的。ERC-721详细定义了数字资产的所有权查看、授权管理、流转等。不同的数字藏品平台基于同样的协议完成设计,理论上就可以进行标准化的操作和解析。
随着对数字资产的需求越来越丰富,社区也在不断提出新的标准来扩展数字资产的使用场景和内涵:
| 标准 | 介绍 |
|---|---|
| ERC-809 | 数字资产的租赁标准,链用户可以出租和租借数字资产 |
| ERC-864 | 数字资产共有产权,支持链用户分享数字资产的所有权 |
| ERC-874 | 带权重的数字资产,便于定义独特资产的价值 |
| ERC-981 | 数字资产的委托标准,通过属性完成对数字资产的细粒度委托控制 |
| ERC-998 | 可拆解的数字资产,一个ERC998 数字资产可以包括多个ERC721和ERC20 |
| ERC-1155 | 多资产标准,便于批量管理多种类型的资产,包括批量所有权查询、批量流转 |
| ERC-1190 | 数字资产版税标准,支持铸造者和所有者获得数字资产版税 |
3. 去中心化存储
“一切皆可数字资产”这句话从侧面表达了数字资产对数字化数据的包容性。不论标的物是视频、音频、还是文字、图片、3D模型等各种数据格式,都可以在链上生成对应的唯一标识。标的物实际存储的位置通常有三种选择,数字资产标识所在的业务区块链、去中心化存储系统、中心化的存储系统。

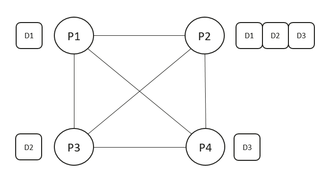
对于数字资产而言,去中心化存储是最好的选择。它具有强隐私保护、低存储成本、高访问速度、数据冗余备份、开源等特点,可以充分的支撑Web3“以用户为中心”这一要义的表达。数据被加密并存储在多个位置或节点上,不依赖与中心化的存储节点和存储服务,下图可以极简的理解去中心化存储的工作原理。

值得关注和学习的几大去中心化存储产品有:
| 产品 | 适用平台 |
|---|---|
| Filecoin(IPFS) | Linux/MacOS |
| Aweave | Linux |
| BitTorrent(BTFS) | Linux/MacOS/Windows |
| Sia | Linux/MacOS/Windows |
| Storj | Linux/MacOS/Windows |
| Utopia | Linux/MacOS/Windows |
- 应用生态
不难发现数字资产发展背后的主要推动力就是用户对数据主权和数据价值自主控制意识的不断增强。构建完善的数字资产应用生态,简单可以分为三层,身份协议层、 数字资产合约协议层, 扩展应用协议层。
分布式数字身份真正具备身份的自主可控性、安全性、自解释性、可移植性、互操作性。在分布式场景下赋予每个用户自主控制和使用数字身份的能力,并针对身份数据等敏感信息进行隐私保护。基于分布式身份, 数字资产相关协议可以与多种扩展应用标准化集成。(详细了解可阅读《区块链分布式身份技术解密——重新定义你的“身份”管理》)
在标准化的身份协议层和数字资产合约协议层之上,结合多样的业务场景定会生长出丰富的应用,例如可信数据交换、数据要素管理等。
如何发行自己的数字资产
不论你是团队还是个人,想要发行自己的数字资产都非常简单。
一种,是可以使用基于公链模式的数字自资产服务,支付手续费或者链使用费铸造发行数字资产。例如支持多种公链的Opensea平台
另一种,可以使用基于联盟链模式的数字资产服务,订购服务通过集成SDK完成数字资产的铸造发行及流转。例如华为云的数字资产链服务。
如何学习相关技术
篇幅原因,欢迎加入我们,一起学习一起成长
华为云区块链Lab成立于2020年,团队立足华为云与区块链业务发展需求和区块链产业前沿内容,探索区块链与云计算、人工智能、大数据、5G、边缘计算等前沿信息技术的深度融合,研发基于区块链融合技术的集成创新应用与系统示范平台,打造具有国际一流研发技术水平、促进华为区块链产学研合作、引导产业进步、产生社会影响和价值的区块链技术研究与产品应用创新组织。
研究方向包括:分布式身份及创新应用,区块链存储与分析,智能合约语言及编译器,可信自适应跨链,公共联盟链,安全隐私框架等
- 点赞
- 收藏
- 关注作者
评论(0)