【LSSVM回归预测】基于matlab蝙蝠算法优化LSSVM回归预测【含Matlab源码 109期】
一、简介
LSSVM的特性
1) 同样是对原始对偶问题进行求解,但是通过求解一个线性方程组(优化目标中的线性约束导致的)来代替SVM中的QP问题(简化求解过程),对于高维输入空间中的分类以及回归任务同样适用;
2) 实质上是求解线性矩阵方程的过程,与高斯过程(Gaussian processes),正则化网络(regularization networks)和费雪判别分析(Fisher discriminant analysis)的核版本相结合;
3) 使用了稀疏近似(用来克服使用该算法时的弊端)与稳健回归(稳健统计);
4) 使用了贝叶斯推断(Bayesian inference);
5) 可以拓展到非监督学习中:核主成分分析(kernel PCA)或密度聚类;
6) 可以拓展到递归神经网络中。
LSSVM用于分类任务
1) 优化目标

2) 拉格朗日乘子法

其中α i \alpha_iαi是拉格朗日乘子,也是支持值(support values)
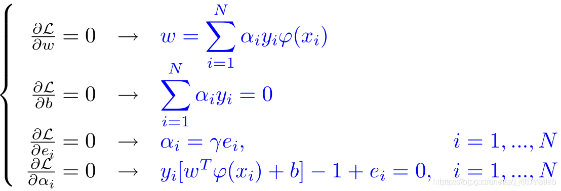
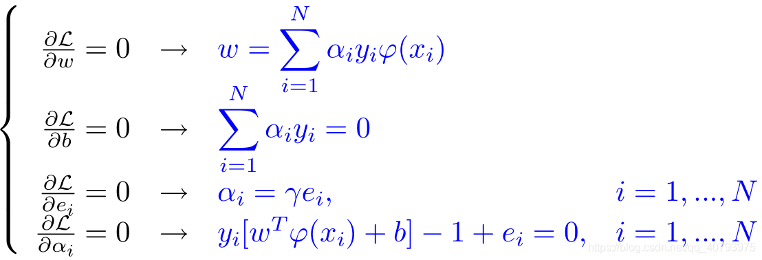
3) 求解最优化条件

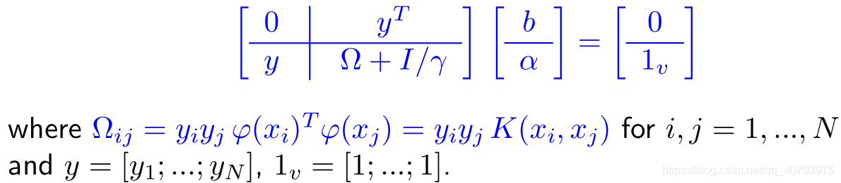
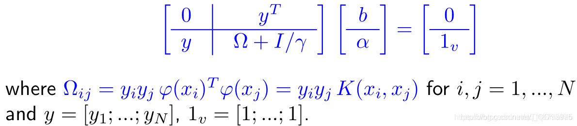
4) 求解对偶问题(与SVM同样不对w ww和e ee做任何计算)

LLSVM通过求解上述线性方程组,得到优化变量a aa和b bb的值,这种求解方式比求解QP问题更加简便
5) 与标准SVM的区别
a. 使用等式约束,而不是不等式约束;
b. 由于对每个样本点采用了等式约束,因此对松弛向量不施加任何约束,这也是LSSVM丢失稀疏性的重要原因;
c. 通过解决等式约束以及最小二乘问题,使得问题得到进一步简化。
LSSVM用于回归任务
1) 问题描述

LSSVM的弊端
注意到解决分类任务时,在求解最优化过程中得到α i = γ e i \alpha_{i}=\gamma{e_{i}}αi=γei,由于拉格朗日乘子法中对应于等式约束的拉格朗日乘子α i ≠ 0 \alpha_{i}\neq{0}αi̸=0,因此全部训练样本都会被作为支持向量来看待,这就会导致其丧失SVM原有的稀疏性质,但是还可以通过对训练集进行基于支持度的“减枝”(pruning)处理来达到稀疏化的目的,这一步也可以看做是一种稀疏近似(sparse approximate)操作。
二、部分源代码
%=====================================================================
%初始化
clc
close all
clear
format long
tic
%==============================================================
%%导入数据
data=xlsread('1.xlsx');
[row,col]=size(data);
x=data(:,1:col-1);
y=data(:,col);
set=1; %设置测量样本数
row1=row-set;%
train_x=x(1:row1,:);
train_y=y(1:row1,:);
test_x=x(row1+1:row,:);%预测输入
test_y=y(row1+1:row,:);%预测输出
train_x=train_x';
train_y=train_y';
test_x=test_x';
test_y=test_y';
%%数据归一化
[train_x,minx,maxx, train_yy,miny,maxy] =premnmx(train_x,train_y);
test_x=tramnmx(test_x,minx,maxx);
train_x=train_x';
train_yy=train_yy';
train_y=train_y';
test_x=test_x';
test_y=test_y';
%% 参数初始化
eps = 10^(-6);
%%定义lssvm相关参数
type='f';
kernel = 'RBF_kernel';
proprecess='proprecess';
lb=[0.01 0.02];%参数c、g的变化的下限
ub=[1000 100];%参数c、g的变化的上限
dim=2;%维度,即一个优化参数
SearchAgents_no=20; % Number of search agents
Max_iter=100; % Maximum numbef of iterations
n=10; % Population size, typically 10 to 25
A=0.25; % Loudness (constant or decreasing)
r=0.5; % Pulse rate (constant or decreasing)
% This frequency range determines the scalings
Qmin=0; % Frequency minimum
Qmax=2; % Frequency maximum
% Iteration parameters
tol=10^(-10); % Stop tolerance
Leader_pos=zeros(1,dim);
Leader_score=inf; %change this to -inf for maximization problems
%Initialize the positions of search agents
for i=1:SearchAgents_no
Positions(i,1)=ceil(rand(1)*(ub(1)-lb(1))+lb(1));
Positions(i,2)=ceil(rand(1)*(ub(2)-lb(2))+lb(2));
Fitness(i)=Fun(Positions(i,:),train_x,train_yy,type,kernel,proprecess,miny,maxy,train_y,test_x,test_y);
v(i,:)=rand(1,dim);
end
[fmin,I]=min(Fitness);
best=Positions(I,:);
Convergence_curve=zeros(1,Max_iter);
t=0;% Loop counter
% Start the iterations -- Bat Algorithm
%% 结果分析
plot( Convergence_curve,'LineWidth',2);
title(['灰狼优化算法适应度曲线','(参数c1=',num2str(Leader_pos(1)),',c2=',num2str(Leader_pos(2)),',终止代数=',num2str(Max_iter),')'],'FontSize',13);
xlabel('进化代数');ylabel('误差适应度');
bestc = Leader_pos(1);
bestg = Leader_pos(2);
end
RD=RD'
disp(['灰狼优化算法优化svm预测误差=',num2str(D)])
% figure
% plot(test_predict,':og')
% hold on
% plot(test_y,'- *')
% legend('预测输出','期望输出')
% title('网络预测输出','fontsize',12)
% ylabel('函数输出','fontsize',12)
% xlabel('样本','fontsize',12)
figure
plot(train_predict,':og')
hold on
plot(train_y,'- *')
legend('预测输出','期望输出')
title('灰狼优化svm网络预测输出','fontsize',12)
ylabel('函数输出','fontsize',12)
xlabel('样本','fontsize',12)
toc %计算时间
- 1
- 2
- 3
- 4
- 5
- 6
- 7
- 8
- 9
- 10
- 11
- 12
- 13
- 14
- 15
- 16
- 17
- 18
- 19
- 20
- 21
- 22
- 23
- 24
- 25
- 26
- 27
- 28
- 29
- 30
- 31
- 32
- 33
- 34
- 35
- 36
- 37
- 38
- 39
- 40
- 41
- 42
- 43
- 44
- 45
- 46
- 47
- 48
- 49
- 50
- 51
- 52
- 53
- 54
- 55
- 56
- 57
- 58
- 59
- 60
- 61
- 62
- 63
- 64
- 65
- 66
- 67
- 68
- 69
- 70
- 71
- 72
- 73
- 74
- 75
- 76
- 77
- 78
- 79
- 80
- 81
- 82
- 83
- 84
- 85
- 86
- 87
- 88
- 89
- 90
- 91
- 92
- 93
- 94
- 95
- 96
- 97
- 98
- 99
三、运行结果


四、matlab版本及参考文献
1 matlab版本
2014a
2 参考文献
[1] 包子阳,余继周,杨杉.智能优化算法及其MATLAB实例(第2版)[M].电子工业出版社,2016.
[2]张岩,吴水根.MATLAB优化算法源代码[M].清华大学出版社,2017.
[3]周品.MATLAB 神经网络设计与应用[M].清华大学出版社,2013.
[4]陈明.MATLAB神经网络原理与实例精解[M].清华大学出版社,2013.
[5]方清城.MATLAB R2016a神经网络设计与应用28个案例分析[M].清华大学出版社,2018.
文章来源: qq912100926.blog.csdn.net,作者:海神之光,版权归原作者所有,如需转载,请联系作者。
原文链接:qq912100926.blog.csdn.net/article/details/112986071
- 点赞
- 收藏
- 关注作者
评论(0)