我们都爱学的flink的state内容
一、概述
1、简介
我们来看一下flink的介绍,
Apache Flink® — Stateful Computations over Data Streams,数据流上的状态计算。可以看出flink默认它是一个默认就有状态的分析引擎,State一般指一个具体的 Task/Operator 的状态,State数据默认保存在 Java 的堆内存中。
假设一个 Task 在处理过程中挂掉了,那么它在内存中的状态都会丢失,所有的数据都需要重新计算。从容错和消息处理的语义(At -least-once 和 Exactly-once)上来说,Flink引入了State 和 CheckPoint。
例如:WordCount 案例可以做到单词的数量的累加,其实是因为在内存中保证了每个单词的出现的次数,这些数据其实就是状态数据。
2、 State backend
现在你大概知道了state是什么,那么这些 state 存储的介质有哪些? Flink 提供了三种存储 State的介质。
2.1、MemoryStateBackend
使用方法:
MemoryStateBackend( int maxStateSize, boolean asynchronousSnapshots )
存储位置:
State: TaskManager 内存
Checkpoint: Jobmanager 内存
使用场景:
本地测试用,不推荐生产场景使用
2.2、FsStatebackend:
使用方法:
FaStateBackend( URI checkpointDataUri, boolean asynchronousSnapshots )
存储位置:
State:Taskmanager 内存
Checkpoint: 外部文件系统( 本地或 HDFS )
使用场景:
常规使用 State 的作业,可以在生产中使用
2.3、 RocksDBStateBackend
使用方法:
RocksDBStateBackend( URI checkpointDataUri, boolean enableIncrementalCheckpointing )
存储位置:
State: TaskManager 上的 KV 数据库(实际使用内存 + 磁盘)
Checkpoint: 外部文件系统(本地或 HDFS )
使用场景:
超大状态作业,对性能要求不高的生产场景
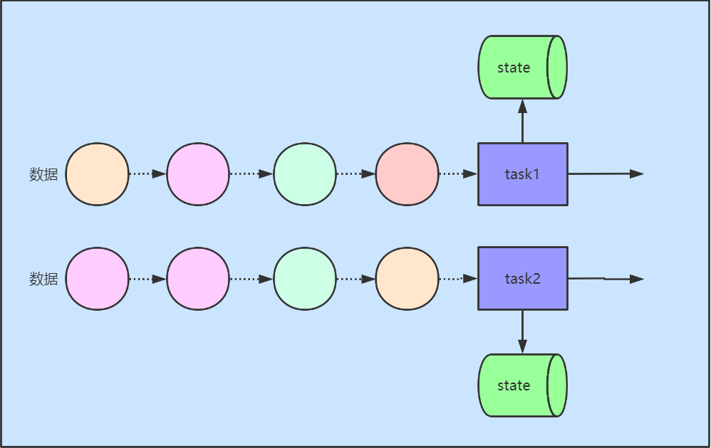
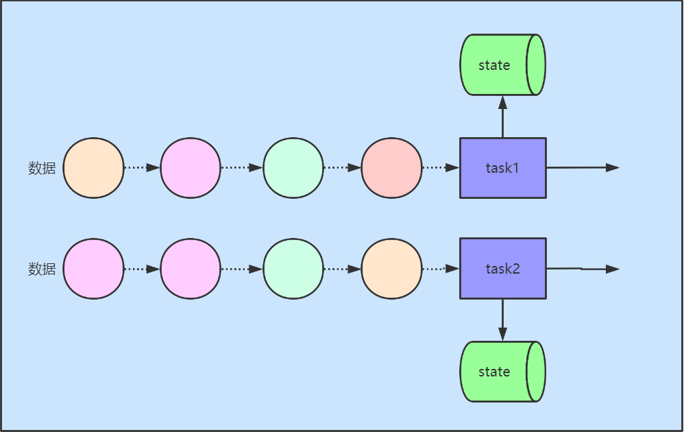
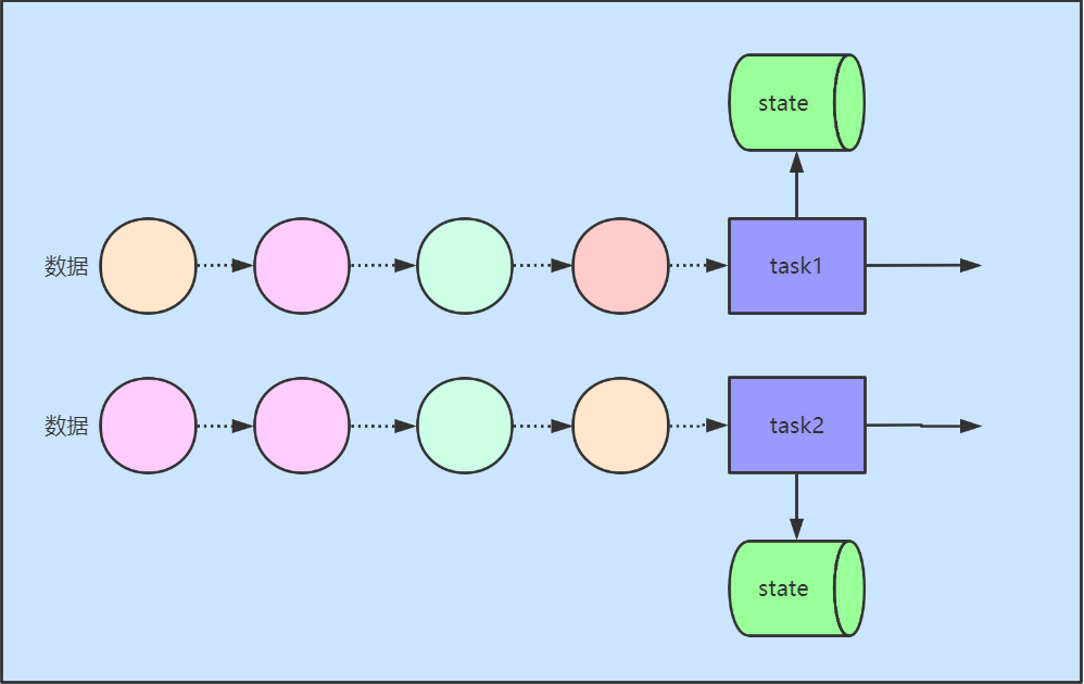
二、state的类型
Flink中有原生状态、托管状态两种基本类型的State,这两种类型的state都可以使用Operator State(算子状态)、keyed State(键控状态)这两种形式操作。
1、原生状态(raw state)
由用户操作算子自己管理数据结构,当触发Checkpoint操作过程中,Flink并不知道状态数据内部的数据结构,只是将数据转换成bytes数据存储在Checkpoints中,当从Checkpoints恢复任务时,算子自己再反序列化出状态的数据结构。
2、托管状态(managed state)
由Flink Runtime控制和管理状态数据,并将状态数据转换成为内存的Hash tables或 RocksDB的对象存储,然后将这些数据通过内部的接口持久化到checkpoints中,如果任务发生异常时,可以通过这些状态数据恢复任务。
下面是两种状态的比较表格,推荐使用ManagedState管理状态数据,ManagedState更好的支持状态数据的重平衡以及更加完善的内存管理
| Managed State | Raw State | |
|---|---|---|
| 状态管理方式 | Flink Runtime托管,自动存储、自动恢复、自动伸缩 | 用户自己管理 |
| 状态数据结构 | Flink提供的常用数据结构,如ListState、MapState等 | 字节数组:byte[] |
| 使用场景 | 绝大多数Flink算子 | 用户自定义算子 |
3、两种形式
3.1 Operator State(算子状态)
operator state是task级别的state,说白了就是每个task对应一个state。
Kafka Connector source中的每个分区(task)都需要记录消费的topic的partition和offset等信息。
对于Operator State,我们还需进一步实现CheckpointedFunction接口。

它经常被用在Source或Sink等算子上,用来保存流入数据的偏移量或对输出数据做缓存,以保证Flink应用的Exactly-Once语义。
3.2 keyed State(键控状态)
keyed State使用场景广泛,它是基于KeyedStream上的状态,这个状态是跟特定的Key 绑定的。KeyedStream流上的每一个Key,都对应一个State。Flink针对 Keyed State 提供了下面几种数据结构的(托管状态)Keyed state保存State。

3.2.1、ValueState
保存一个可以更新和检索的值(例如:每个值都对应到当前的输入数据的key,因此算子接收到的每个key都可能对应一个值)。 这个值可以通过update(T) 进行更新,通过 T value() 进行检索 。
3.2.2、ListState
保存一个元素的列表。可以往这个列表中追加数据,并在当前的列表上进行检索。可以通过 add(T) 或者 addAll(List<T>) 进行添加元素,通过 Iterable<T> get() 获得整个列表。还可以通过 update(List<T>) 覆盖当前的列表 。
3.2.3、MapState
维护了一个映射列表。 你可以添加键值对到状态中,也可以获得 反映当前所有映射的迭代器。使用 put(UK,UV) 或者 putAll(Map<UK,UV>) 添加映射。 使用 get(UK) 检索特定 key。 使用 entries(),keys() 和 values() 分别检索映射、 键和值的可迭代视图。
3.2.4、ReducingState
保存一个单值,表示添加到状态的所有值的聚合。接口与ListState类似,但使用add(T) 增加元素,会使用提供的 ReduceFunction 进行聚合。
3.2.5、AggregatingState
AggregatingState<IN, OUT>: 保留一个单值,表示添加到状态的所有值的聚合。和 ReducingState 相反的是, 聚合类型可能与添加到状态的元素的类型不同。 接口与 ListState类似,但使用 add(IN) 添加的元素会用指定的 AggregateFunction 进行聚合
3.2.6、上述keyedState大体的使用方法
1、只能用于RichFunction
2、将State 声明为实例变量
3、在 open() 方法中为State赋值创建一个StateDescriptor利用getRuntimeContext().getXXState(…)构建不同的State
4、调用State的方法进行读写例如 state.value()、state.update(…)等等
- 点赞
- 收藏
- 关注作者
评论(0)