GAMES101 学习19——相机、透镜、光场
一、成像方法
Imaging = Synthesis + Capture
- Synthesis(合成,图形学上)
①光栅化
②光纤追踪 - Capture(捕捉)
二、相机

2.1 小孔成像

针孔相机成像(上)和棱镜成像(下)
-
小孔成像是针孔camera的成像原理
-
相机的各个部位
-
快门(Shutter)

-
传感器(Sensor) 用来记录Irradiance

-
-
为什么没有透镜,相机就成不了像?
因为如果直接把感光元件放在一个人的面前,感光元件上任何一个点都可能收集到不同方向过来的光,而且作为传感器的它不会区分来自各个方向的光线,所以会糊 -
分析针孔camera的原理 得到→ 拍到的都没有深度(都锐利,无需化)
2.2 FOV(field of view 视场)
- 定义:高度 h & 焦距 f
FOV=2arctan(h/2f)

2.2.1 焦距(Focal Length)
历史原因,通常以35mm的胶片为基准(eg.17mm为广角)
手机对应的基准会小很多(等效为35mm)

2.2.2 传感器大小(Sensor Size)
FOV其实是受两个因素影响的,除了 焦距 还有传感器大小,前面分析焦距对FOV影响的时候,固定了传感器大小,下面来看 传感器大小对FOV的影响,显然,如果可以改变传感器大小,那么当焦距一样时,大一点的传感器自然FOV会更大。
注意:传感器的胶片其实不是一回事(sensor 和 film),传感器负责记录每个像素接收的irradiance;最后保存在胶片上-和胶片上的点有个一个一一对应关系,通过胶片可以决定图片存成什么格式

如果传感器减小,要保持FOV的大小,那就适当缩短焦距(如下图)

2.3 Exposure 曝光
-
一些定义

-
哪些因素影响成片亮与否?


2.3.1 Aperture size(光圈的大小)
光圈是个仿生学设计,原理参照人的瞳孔(外界光线强的时候,瞳孔会自动小一些,不让那么多光进来灼伤视网膜)
F-Number (F-Stop):描述光圈的大小
有两种写法:FN or F/N(这些不重要,我们关心的是N)

2.3.2 快门速度
快门:控制光通过的时间(我们关心从关闭到打开的过程),快门速度越大,开放时间就越短-意味着进入的光越少
两个现象
- Motion blur(运动模糊):快门开的时候在一个位置,关的时候在另外一个位置 → 平均 → 模糊(长曝光时间,模糊越严重)

从运动模糊理解采样&走样:相当于在时间上采样
- Rolling shutter:高速运动的情况下,拍出来会扭曲(原因:不同位置记录了不同的时间)

2.3.3 ISO gain(感光度)
ISO :可以理解为乘了一个数(就是一个简单的增倍eg.ISO200就是ISO100的两倍)
理解成一个后期处理,当感光元件已经感知到了一定的光,后期可以再乘上一个值进行放大,影响最后图片的亮度
放大图像的同时也会放大噪声

光圈和快门的总结:
//表格上下对应可以达到同样的曝光度 (真的完全一样吗?)
→ 不是 大光圈会有景深 快门时间会导致运动模糊

4.快门time的应用:高速摄影和延时摄影
三、透镜
3.1 Thin Lens Approximation薄透镜近似
(1)从镜头说起:理想的薄透镜 → 焦点
(默认:①过焦点会变成平行光;②平行光一定过焦点)

(2)假设我们可以任意改焦距
透镜满足的物理规律:①上边默认的 ② 从中心过不会改变方向
透镜方程 :
定义:zo(物距) zi(像距) 1/f =1/zi + 1/zo

3.1.2 高斯射线图
可以推导出上述透镜公式


3.2 Defocus Blur (焦散模糊 - 可以解释景深)
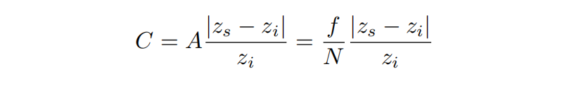
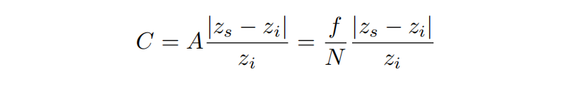
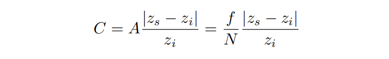
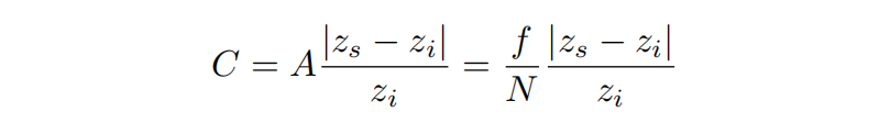
3.2.1 CoC(Circle of Confusion)
当物体远离Focal Plane,原本的一个点落在sensor plane上就会变成一个圆,这个圆就被称为 circle of confusion,如下图,它和光圈大小有比例关系

更大的光圈可以看到更模糊的成像

光圈的定义 :焦距/光圈的直径
N=f/D
相当于把 光圈大小 、 F数 、焦距 三者联系到了一块

CoC 和 N成反比

3.3 追中的理想薄透镜(模拟薄透镜)
以前的光线追踪中,相机是一个小点,默认小孔成像。
模拟薄透镜可以做出景深的效果。

定义属性:
定义sensor的大小,透镜的属性(焦距,光圈大小),
定义透镜的位置,即物距z_0
渲染:
- 对于sensor上的点x’
- 在透镜上随机取样点x’’
- 将上面两点连线后,根据透镜性质得知光线可以传播到x’’’
- 估计x’’'到x’的radiance

3.4 Depth of Field景深
用不同大小的光圈可以控制模糊的范围。
景深对应的就是CoC小的那一段,这段是清晰的。
真实场景中有一段深度(景深)经过透镜会在成像平面附近形成一段区域,这段区域内认为CoC是足够小的。这段就是清晰的。
可以简单理解成只要CoC比像素小或者差不多,画面就是清晰的。
Depth of Field(FYI)
我们希望把DF DN DS dF dS dN 联系起来(深度和焦距联系起来)
DOF = DF - DN

- 点赞
- 收藏
- 关注作者







评论(0)