数字信号处理之期中斩神篇(三重 长生)
一个视频带你了解傅里叶变换全过程
傅里叶级数视频解析
复共轭序列的DFT


意义:1、时域x(n)取共轭,对应于频域X(k)取循环反转共轭(实部取循环反转,虚部取循环反转的负值)
2、频域X(k)取共轭,对应于时域x(n)取循环反转共轭。


DFT的共轭对称性
有限长共轭对称序列和共轭反对称序列
在DFT中涉及的序列x(n)及其X(k)均为有限长序列,且定义区间为0到N-1,此处对称性是指关于N/2点的对称性。





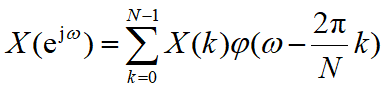
频率域取样
频域取样指对序列的 傅里叶变换或系统的频率特性进行取样。由时域取样定理,在一定的条件下,可以通过时域离散取样信号恢复原来的连续信号。对有限长序列而言,由DFT的讨论可知,DFT是在频域内对序列傅里叶变换X(e^jω)的等间隔取样,即实现了 频域取样。可利用 内插公式由X(k)恢复原来的连续谱信号,即频率函数X(e^jω)或X(z)。


如果序列x(n)的长度为M,当 N<M ,产生时域混叠现象。
只有当频域取样点数N≥M时
X(z)在单位圆上的N点等间隔采样X(k)的N点IDFT是原序列x(n)以N为周期的周期延拓序列的主值序列
频域采样定理:

X(z)的内插公式即用频域取样X(k)表示X(z)的内插公式和内插函数。
设序列x(n)的长度为M,在X(z)单位圆上等间隔取样N点,则可以从X(k)无失真地恢复x(n),因而这个X(k)也应该能完全表达整个X(z)函数及频响X(ejw)。


说明:
在数字滤波器的结构与设计中,频域采样理论及有关公式可提供一种有用的滤波器结构和滤波器设计途径,有助于分析FIR滤波器频率采样设计法的逼近性能。

DFT计算线性卷积




说明:
yc(n)是yl(n)以L为周期的周期延拓序列的主值序列
由于卷积yl(n)的长度为N+M-1,因此当循环卷积的长度L≥N+M-1时,以L为周期的周期延拓才不会出现混叠现象,此时取主值序列显然满足yc(n)=yl(n)
证明了循环卷积等于线性卷积的条件是L≥N+M-1

长序列和短序列的线性卷积
分段卷积可采用重叠相加法和重叠保留法





文章来源: blog.csdn.net,作者:渣渣ye,版权归原作者所有,如需转载,请联系作者。
原文链接:blog.csdn.net/yyfloveqcw/article/details/123954980
- 点赞
- 收藏
- 关注作者



评论(0)