GAMES101 学习2——线代基础复习
参考资料

一、向量(Vectors)

1.1 单位向量
单位向量,表示方向不表示长度

1.2 向量加法


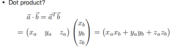
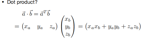
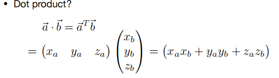
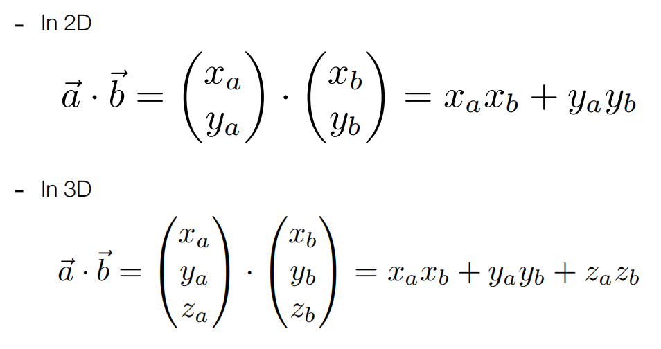
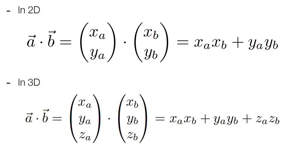
1.3 向量的点乘
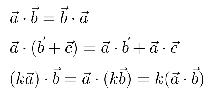
1.3.1 点乘概念

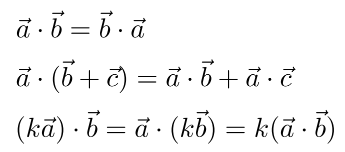
1.3.2 点乘的性质
点乘满足交换律、结合律、分配律

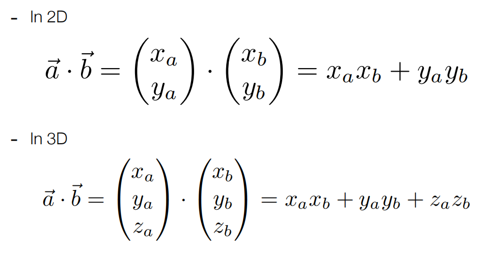
1.3.3 点积的矩阵计算方式

1.3.4 点积的应用
a.找夹角
求
b.算投影


c.判断“前“与”后“
根据
结果的 正/负/零 判断夹角与方向

d.判断向量的接近程度
与c同理
1.4 向量的叉乘
1.4.1 叉乘概念
长度:
x
=
sin
方向:右手定则:四指的方向由
指向
,大拇指的方向即为叉乘后所得向量的方向
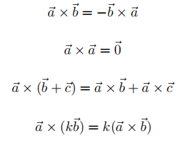
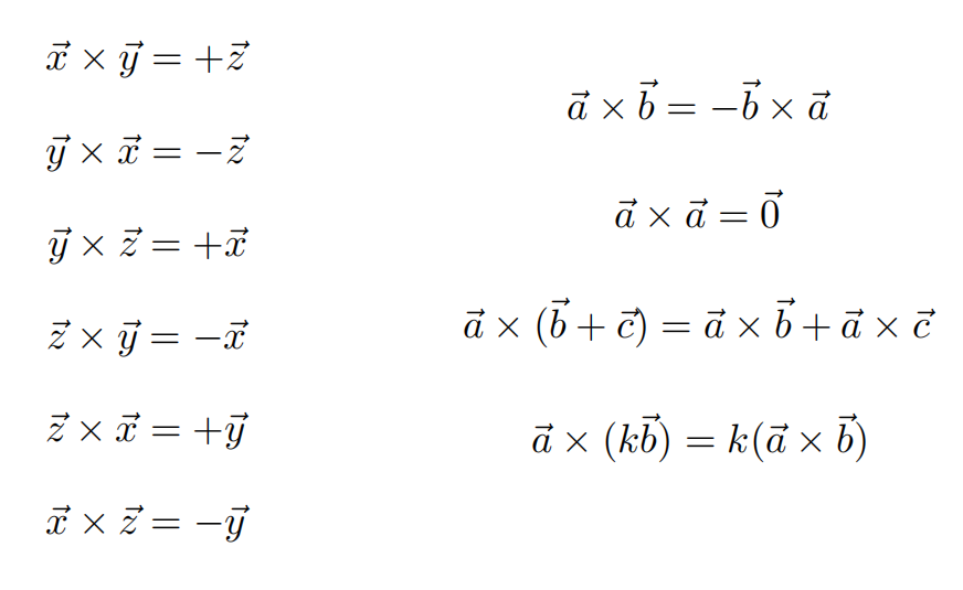
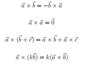
1.4.2 叉乘性质
仅满足结合,分配律,不满足交换律

1.4.3 叉积的矩阵计算方式

1.4.4 叉积的应用
a.帮助建立右手坐标系
x =
b.满足结合律和分配律,不满足交换律

c.判定左右/内外

-
判断左右的方法
x 为正 在 左侧 -
判断内外的方法
● x 为正 P在AB左侧
x 为正 P在BC左侧
同理:P在CA左侧
P都在点在三条边的左侧,所以P点在 ABC内
● 引申:如果点ABC的命名顺序不是逆时针,改为顺时针,此时P都在三条边右侧
● 总结:在忽略点命名顺序的情况下:P点都在左侧/右侧 在内部
二、右手直角坐标系

①三个向量两两垂直,且都是单位向量
②可以利用投影分解任意向量
三、矩阵(Matrices)
3.1“能乘”的情况,乘的方法
(1)能乘

(2)如何乘

eg:
红圈的=第二行和第四列相乘
即=
·
=26
3.2.矩阵没有交换律,但是有结合律、分配律

3.3.矩阵和向量的乘法

①向量看成一个m × 1 的矩阵
②是变换的关键
③默认矩阵在左边
3.4.矩阵的转置
①概念:
,行列互换

②性质: =
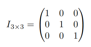
3.5.矩阵的逆
①概念:
//
为单位矩阵
eg:

②性质:
3.6.向量和向量的点积、叉积都能写成矩阵和向量的乘的形式
①点积

②叉积

- 点赞
- 收藏
- 关注作者
评论(0)