【数据结构与算法】之深入解析“二叉搜索树中的插入操作”的求解思路与算法示例
【摘要】
一、题目要求
给定二叉搜索树(BST)的根节点 root 和要插入树中的值 value,将值插入二叉搜索树,返回插入后二叉搜索树的根节点,输入数据保证,新值和原始二叉搜索树中的任意节点值都不同。
...
一、题目要求
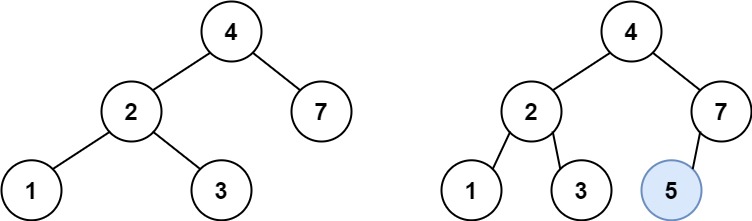
- 给定二叉搜索树(BST)的根节点 root 和要插入树中的值 value,将值插入二叉搜索树,返回插入后二叉搜索树的根节点,输入数据保证,新值和原始二叉搜索树中的任意节点值都不同。
- 注意,可能存在多种有效的插入方式,只要树在插入后仍保持为二叉搜索树即可,你可以返回任意有效的结果。
- 示例 1:

输入:root = [4,2,7,文章来源: blog.csdn.net,作者:╰つ栺尖篴夢ゞ,版权归原作者所有,如需转载,请联系作者。
原文链接:blog.csdn.net/Forever_wj/article/details/124149803
【版权声明】本文为华为云社区用户转载文章,如果您发现本社区中有涉嫌抄袭的内容,欢迎发送邮件进行举报,并提供相关证据,一经查实,本社区将立刻删除涉嫌侵权内容,举报邮箱:
cloudbbs@huaweicloud.com
- 点赞
- 收藏
- 关注作者
评论(0)