AI Medicine阅读之modeling polypharmacy side sffects with graph conv
【摘要】 主要概述构建多向图蛋白蛋白interaction,药物蛋白target interaction药物药物之间的作用——polypharmarcy side effects不同类型的边Decagon可以处理这样的多向图,有多重边类型使用graph convolutional neural network for multirelational linke prediction 1.1 Prese...
主要概述
- 构建多向图
- 蛋白蛋白interaction,
- 药物蛋白target interaction
- 药物药物之间的作用——polypharmarcy side effects
- 不同类型的边
- Decagon
- 可以处理这样的多向图,有多重边类型
- 使用graph convolutional neural network for multirelational linke prediction
1.1 Present study 讲述研究等,present study
- 研究思路等,
- 构建两层的图网络模型,根据这三种类型的网络,两种节点(drugs and proteins)
- Multirelational edge prediction model:使用multimodal graph预测药物药物interaction以及他们的类型
- 模型是可以用于multirelational setting的convolutional graph neural network
- Decagon的不同
- 之前的方法是feature提取模型以及link预测模型分开,分别训练
- 发明了新的graph auto-encoder 方法,可以开发end to end的训练模型,可以用于预测
- 关键的不同是,multirelational link prediction 能力。可以捕捉不同边类型之间的相互依赖??以及可以辨别图中两个顶点的edge type
- 使用预测数据的合理性
- 方法与其他方法的不同,特点
- 对比结果等
- Datasets
- 数据库连接地址
- Protein–protein and drug–protein interactions
- 使用PPI network, combined by 额外的PPI information
- 包括经过试验的physical interaction,例如metabolic enzyme coupled interaction,signaling interaction
- Unweighted and undirected 网络
- 19085 proteins and 719402 interaction
- Protein - drug作用
- 整个多种化学和蛋白网络
- STITCH 数据库
- 主要使用试验验证过的small chemical and target proteins
- 8083600 interaction between 8934 proteins and 519022 chemicals
- Drug–drug interaction and side effect data
- 286339 drug-side effect,覆盖超过1556drugs和5868side effect
- 总体看,包括4651131drug combination side effect
- 我们重点福按住964共同发生的polypharmacy side offects,每一个副作用发生在至少500个drug combinations
- SIDER(side effect resource)数据库
- 与offsides database 整合
- 删除同义词,使用同样的词语表示
- 融合后,每个药物大约有159个side effects
- TWOSIDES,包含1318副作用,超过63473个药物组合
- 最终的网络数据
- 645 durg, 19085protein nodes,
- 715612蛋白蛋白作用,4651131 drug-drug,18596 drug-protein edges
- Data driven motivation for decagon
- 主要有三个观察,关于这个两层的多向图网络结构
- 第一,在大范围层次,这个side effect的发生频率
- 53%的联合用药副作用仅发生在小于3%的药物组合中
- 由于副作用相关的药物组合数量变化差异很大,因此能够独立预测不同side effect的数量有限
- 所以需要这个模型能够同时从所有side effect中学习信息
- 第二,side effect并非独立出现,表明联合多种类型side effect能够帮助预测
- 为了更好地理解其他side effect的分子机制,预测模型最好可以使用这个side effect的分子信息
- 第三,研究了蛋白(被一个药物靶向)与副作用的关系
- 计算jaccard 相似性,给定药物pair的靶向蛋白间
- Ti——durg i靶向的一系列蛋白
- 超过68%的drug combination没有共同的靶向蛋白——使用PPI链接信息很重要
- 随机的药物组合的共同靶向蛋白额数量更少
- 考虑蛋白信息很重要
- Graph convolutional decagon approach
- 把组合用药的side effect看做multirelational link prediction problem on a multimodal graph模型
- 网络模型构建,考虑其中964中不同的side effects
- 在图G中,主要去预测drug nodes间的egde关系
- 方法
- An encoder:a graph convolutional network operating on G and producing embeddings for nodes in G
- An decoder:a tensor factorization model using these embeddings to model polypharmacy side effects
- Non-linear, multi-layer convolutional graph neural network——Decagon
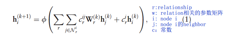
4.1 Graph convolutional encoder
- Input: graph G and node feature vectors xi
- Output: 对每一个节点,产生一个d维的embedding zi
- Encoder模型
- 有效利用图的信息,对不同的relation type分别处理

- r是relation type,w是对应r的parameter matrix
- φ表示激活函数
- c是normalization常数,对称的
- 对每一个节点,通过如上公式进行操作,对每个节点得到一个encoder,d维度的
- 每个节点的计算:根据不同的edge类型,分别计算并加和不同类型的节点(邻居)
4.2 Tensor factorization decoder
- Deconder的目标:通过学习到的node embedding 以及 根据edge type不同处理,构建G中边的类型
- 通过函数g,对一个(vi,r,vj)打分,分数意味着vi和vj通过side effect type r作用的可能性有多大
- 根据Encoder zi,zj,decoder通过一个factorized运算预测candidate edge(vi,r,vj)
- 对于durg,proteins,

- 两种case-1
- Dr modeling the importance of each dimension in zi towards side effect r
- R:global drug-drug interaction
- D: side effect specific diagonal factors,用于描述side effect间的variation和importance
- R:可以训练的参数矩阵,d*d,可以model side effect间drug-drug的相互作用
- 两种case-2
- 不全是drug
- Bilinear 形式decode
- M: a trainable parameter matrix,d*d,表示zi和zj间的interaction
【声明】本内容来自华为云开发者社区博主,不代表华为云及华为云开发者社区的观点和立场。转载时必须标注文章的来源(华为云社区)、文章链接、文章作者等基本信息,否则作者和本社区有权追究责任。如果您发现本社区中有涉嫌抄袭的内容,欢迎发送邮件进行举报,并提供相关证据,一经查实,本社区将立刻删除涉嫌侵权内容,举报邮箱:
cloudbbs@huaweicloud.com
- 点赞
- 收藏
- 关注作者



评论(0)