每日算法&面试题,大厂特训二十八天——第七天(递归|回溯|迭代)
【摘要】
目录标题
导读算法特训十四天面试题点击直接资料领取
导读
肥友们为了更好的去帮助新同学适应算法和面试题,最近我们开始进行专项突击一步一步来。上一期我们完成了动态规划二十一天现在我们进行...
导读

肥友们为了更好的去帮助新同学适应算法和面试题,最近我们开始进行专项突击一步一步来。上一期我们完成了动态规划二十一天现在我们进行下一项对各类算法进行二十八天的一个小总结。还在等什么快来一起肥学进行二十八天挑战吧!!
特别介绍
📣小白练手专栏,适合刚入手的新人欢迎订阅编程小白进阶
📣python有趣练手项目里面包括了像《机器人尬聊》《恶搞程序》这样的有趣文章,可以让你快乐学python练手项目专栏
📣另外想学JavaWeb进厂的同学可以看看这个专栏:传送们
📣这是个冲刺大厂面试专栏还有算法比赛练习我们一起加油 上岸之路
算法特训十四天
将两个升序链表合并为一个新的 升序 链表并返回。新链表是通过拼接给定的两个链表的所有节点组成的。

示例 1:
输入:l1 = [1,2,4], l2 = [1,3,4]
输出:[1,1,2,3,4,4]
- 1
- 2
- 3
- 4
- 5
示例 2:
输入:l1 = [], l2 = []
输出:[]
- 1
- 2
- 3
- 4
示例 3:
输入:l1 = [], l2 = [0]
输出:[0]
- 1
- 2
- 3
- 4
- 5
class Solution {
public ListNode mergeTwoLists(ListNode l1, ListNode l2) {
if (l1 == null) {
return l2;
} else if (l2 == null) {
return l1;
} else if (l1.val < l2.val) {
l1.next = mergeTwoLists(l1.next, l2);
return l1;
} else {
l2.next = mergeTwoLists(l1, l2.next);
return l2;
}
}
}
- 1
- 2
- 3
- 4
- 5
- 6
- 7
- 8
- 9
- 10
- 11
- 12
- 13
- 14
- 15
- 16
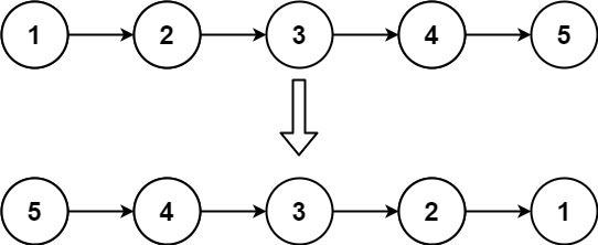
给你单链表的头节点 head ,请你反转链表,并返回反转后的链表。

示例 1:
输入:head = [1,2,3,4,5]
输出:[5,4,3,2,1]
- 1
- 2
- 3
- 4
- 5

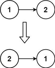
示例 2:
输入:head = [1,2]
输出:[2,1]
- 1
- 2
- 3
- 4
- 5
示例 3:
输入:head = []
输出:[]
- 1
- 2
- 3
- 4
//迭代法
class Solution {
public ListNode reverseList(ListNode head) {
ListNode prev = null;
ListNode curr = head;
while (curr != null) {
ListNode next = curr.next;
curr.next = prev;
prev = curr;
curr = next;
}
return prev;
}
}
- 1
- 2
- 3
- 4
- 5
- 6
- 7
- 8
- 9
- 10
- 11
- 12
- 13
- 14
- 15
面试题
接着上期美团面经数据库的知识。
可重复读解决了哪些问题?
可重复读的核心就是一致性读(consistent read);保证多次读取同一个数据时,其值都和事
务开始时候的内容是一致,禁止读取到别的事务未提交的数据,会造成幻读。
而事务更新数据的时候,只能用当前读。如果当前的记录的行锁被其他事务占用的话,就
需要进入锁等待。
查询只承认在事务启动前就已经提交完成的数据。
可重复读解决的是重复读的问题,可重复读在快照读的情况下是不会有幻读,但当前读的
时候会有幻读。
- 1
- 2
- 3
- 4
- 5
- 6
- 7
- 8
- 9
- 10
- 11
- 12
对 SQL 慢查询会考虑哪些优化 ?
分析语句,是否加载了不必要的字段/数据。
分析 SQL 执行计划(explain extended),思考可能的优化点,是否命中索引等。
查看 SQL 涉及的表结构和索引信息。
如果 SQL 很复杂,优化 SQL 结构。
按照可能的优化点执行表结构变更、增加索引、SQL 改写等操作。
查看优化后的执行时间和执行计划。
如果表数据量太大,考虑分表。
利用缓存,减少查询次数。
- 1
- 2
- 3
- 4
- 5
- 6
- 7
- 8
- 9
- 10
- 11
- 12
- 13
- 14
- 15
- 16
- 17
点击直接资料领取
这里有python,Java学习资料还有有有趣好玩的编程项目,更有难寻的各种资源。反正看看也不亏。
文章来源: blog.csdn.net,作者:肥学,版权归原作者所有,如需转载,请联系作者。
原文链接:blog.csdn.net/jiahuiandxuehui/article/details/121587097
【版权声明】本文为华为云社区用户转载文章,如果您发现本社区中有涉嫌抄袭的内容,欢迎发送邮件进行举报,并提供相关证据,一经查实,本社区将立刻删除涉嫌侵权内容,举报邮箱:
cloudbbs@huaweicloud.com
- 点赞
- 收藏
- 关注作者
评论(0)