AI知识图谱之AutoETER
【摘要】 一种自动学习类型的向量表示,可以兼容多种关系;推理所有关系模型,及复杂的关系的自动图谱关系嵌入方法。
AutoETER: Automated Entity Type Representation with Relation-Aware Attention for Knowledge Graph Embedding
1.目的:
- 自动学习类型的向量表示,可以兼容多种关系
- 推理所有关系模型,及复杂的关系
2.方法
- 将实体和关系embedding到复数空间,通过实体特异性的三元组
- 类型特异性的三元组encoder:学习类型embeddings表示
- 类型类似的embeddings,需要类似
3.方法
3.1 步骤1:实体特定的三元组encoder
- 学习RotatE

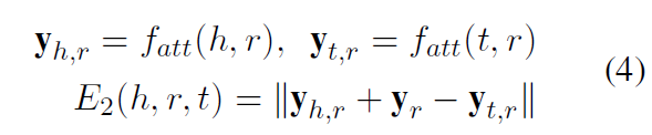
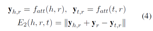
3.2 步骤2:Type-specific triple encoder
3.3 步骤3:类型相同的实体,embedings时,比较类似
原文图片

Paper:https://arxiv.org/abs/2009.12030
【声明】本内容来自华为云开发者社区博主,不代表华为云及华为云开发者社区的观点和立场。转载时必须标注文章的来源(华为云社区)、文章链接、文章作者等基本信息,否则作者和本社区有权追究责任。如果您发现本社区中有涉嫌抄袭的内容,欢迎发送邮件进行举报,并提供相关证据,一经查实,本社区将立刻删除涉嫌侵权内容,举报邮箱:
cloudbbs@huaweicloud.com
- 点赞
- 收藏
- 关注作者



评论(0)