【数据结构与算法】之深入解析“打家劫舍III”的求解思路与算法示例
【摘要】
一、题目要求
小偷又发现了一个新的可行窃的地区,这个地区只有一个入口,我们称之为 root。
除了 root 之外,每栋房子有且只有一个“父“房子与之相连。一番侦察之后,聪明的小偷意识到“这个地方...
一、题目要求
- 小偷又发现了一个新的可行窃的地区,这个地区只有一个入口,我们称之为 root。
- 除了 root 之外,每栋房子有且只有一个“父“房子与之相连。一番侦察之后,聪明的小偷意识到“这个地方的所有房屋的排列类似于一棵二叉树”。 如果两个直接相连的房子在同一天晚上被打劫,房屋将自动报警。
- 给定二叉树的 root,返回在不触动警报的情况下,小偷能够盗取的最高金额。
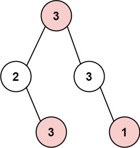
- 示例 1:

输入: root = [3,2,3,null,3,null,
文章来源: blog.csdn.net,作者:Serendipity·y,版权归原作者所有,如需转载,请联系作者。
原文链接:blog.csdn.net/Forever_wj/article/details/123237286
【版权声明】本文为华为云社区用户转载文章,如果您发现本社区中有涉嫌抄袭的内容,欢迎发送邮件进行举报,并提供相关证据,一经查实,本社区将立刻删除涉嫌侵权内容,举报邮箱:
cloudbbs@huaweicloud.com
- 点赞
- 收藏
- 关注作者
评论(0)