【数据结构与算法】之深入解析“相交链表”的求解思路与算法示例
【摘要】
一、题目要求
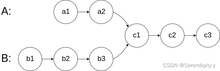
给你两个单链表的头节点 headA 和 headB ,请你找出并返回两个单链表相交的起始节点,如果两个链表不存在相交节点,返回 null。
图示两个链表在节点 c1 开始相交:
...
一、题目要求
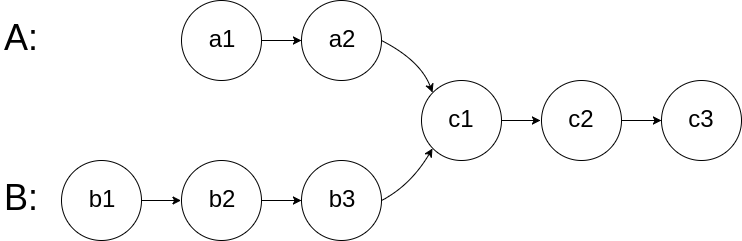
- 给你两个单链表的头节点 headA 和 headB ,请你找出并返回两个单链表相交的起始节点,如果两个链表不存在相交节点,返回 null。
- 图示两个链表在节点 c1 开始相交:

- 题目数据保证整个链式结构中不存在环。
- 注意,函数返回结果后,链表必须保持其原始结构。
- 自定义评测:
-
- 评测系统的输入如下(设计的程序不适用此输入):
-
-
- intersectVal - 相交的起始节点的值。如果不存在相交节点,这一值为 0;
-
-
-
- listA - 第一个链表;
-
-
-
- listB - 第二个链表;
-
-
-
- skipA - 在 listA 中(从头节点开始)跳到交叉节点的节点数;
-
-
文章来源: blog.csdn.net,作者:Serendipity·y,版权归原作者所有,如需转载,请联系作者。
原文链接:blog.csdn.net/Forever_wj/article/details/123098765
【版权声明】本文为华为云社区用户转载文章,如果您发现本社区中有涉嫌抄袭的内容,欢迎发送邮件进行举报,并提供相关证据,一经查实,本社区将立刻删除涉嫌侵权内容,举报邮箱:
cloudbbs@huaweicloud.com
- 点赞
- 收藏
- 关注作者
评论(0)