leetcode基础编程:链表
148. 移除链表元素
难度:简单
收藏
给你一个链表的头节点 head 和一个整数 val ,请你删除链表中所有满足 Node.val == val 的节点,并返回 新的头节点 。
示例 1:
输入:head = [1,2,6,3,4,5,6], val = 6
输出:[1,2,3,4,5]
示例 2:
输入:head = [], val = 1
输出:[]
示例 3:
输入:head = [7,7,7,7], val = 7
输出:[]
提示:
列表中的节点数目在范围 [0, 104] 内
1 <= Node.val <= 50
0 <= val <= 50
# Definition for singly-linked list.
# class ListNode:
# def __init__(self, val=0, next=None):
# self.val = val
# self.next = next
class Solution:
def removeElements(self, head: ListNode, val: int) -> ListNode:
head=ListNode(next=head)
pre=head
while pre.next:
if pre.next.val == val:
pre.next=pre.next.next
else:
pre=pre.next
return head.next
- 1
- 2
- 3
- 4
- 5
- 6
- 7
- 8
- 9
- 10
- 11
- 12
- 13
- 14
- 15
53. 旋转链表
难度:中等
收藏
给你一个链表的头节点 head ,旋转链表,将链表每个节点向右移动 k 个位置。
示例 1:

输入:head = [1,2,3,4,5], k = 2
输出:[4,5,1,2,3]
- 1
- 2
示例 2:

输入:head = [0,1,2], k = 4
输出:[2,0,1]
- 1
- 2
提示:
- 链表中节点的数目在范围
[0, 500]内 -100 <= Node.val <= 1000 <= k <= 2 * 10^9
# Definition for singly-linked list.
# class ListNode:
# def __init__(self, val=0, next=None):
# self.val = val
# self.next = next
class Solution:
def rotateRight(self, head: Optional[ListNode], k: int) -> Optional[ListNode]:
if not head:
return None
length=0
temp=head
while temp.next:
length+=1
temp=temp.next
temp.next=head
k=k%(length+1)
temp=head
for i in range(length-k):
temp=temp.next
head=temp.next
temp.next=None
return head
- 1
- 2
- 3
- 4
- 5
- 6
- 7
- 8
- 9
- 10
- 11
- 12
- 13
- 14
- 15
- 16
- 17
- 18
- 19
- 20
- 21
- 22
20. 合并两个有序链表
难度:简单
收藏
将两个升序链表合并为一个新的 升序 链表并返回。新链表是通过拼接给定的两个链表的所有节点组成的。
示例 1:

输入:l1 = [1,2,4], l2 = [1,3,4]
输出:[1,1,2,3,4,4]
- 1
- 2
示例 2:
输入:l1 = [], l2 = []
输出:[]
- 1
- 2
示例 3:
输入:l1 = [], l2 = [0]
输出:[0]
- 1
- 2
提示:
- 两个链表的节点数目范围是
[0, 50] -100 <= Node.val <= 100l1和l2均按 非递减顺序 排列
# Definition for singly-linked list.
# class ListNode:
# def __init__(self, val=0, next=None):
# self.val = val
# self.next = next
class Solution:
def mergeTwoLists(self, list1: Optional[ListNode], list2: Optional[ListNode]) -> Optional[ListNode]:
if not list1:
return list2
if not list2:
return list1
ls = ListNode()
tail = ls
while list1 and list2:
if list1.val < list2.val:
ls.next = list1
ls = ls.next
list1=list1.next
else:
ls.next = list2
ls = ls.next
list2=list2.next
if list1:
ls.next=list1
if list2:
ls.next=list2
return tail.next
- 1
- 2
- 3
- 4
- 5
- 6
- 7
- 8
- 9
- 10
- 11
- 12
- 13
- 14
- 15
- 16
- 17
- 18
- 19
- 20
- 21
- 22
- 23
- 24
- 25
- 26
- 27
- 28
131. 相交链表
难度:简单
收藏
给你两个单链表的头节点 headA 和 headB ,请你找出并返回两个单链表相交的起始节点。如果两个链表不存在相交节点,返回 null 。
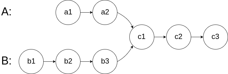
图示两个链表在节点 c1 开始相交**:**
题目数据 保证 整个链式结构中不存在环。
注意,函数返回结果后,链表必须 保持其原始结构 。
自定义评测:
评测系统 的输入如下(你设计的程序 不适用 此输入):
intersectVal- 相交的起始节点的值。如果不存在相交节点,这一值为0listA- 第一个链表listB- 第二个链表skipA- 在listA中(从头节点开始)跳到交叉节点的节点数skipB- 在listB中(从头节点开始)跳到交叉节点的节点数
评测系统将根据这些输入创建链式数据结构,并将两个头节点 headA 和 headB 传递给你的程序。如果程序能够正确返回相交节点,那么你的解决方案将被 视作正确答案 。
示例 1:

输入:intersectVal = 8, listA = [4,1,8,4,5], listB = [5,6,1,8,4,5], skipA = 2, skipB = 3
输出:Intersected at '8'
解释:相交节点的值为 8 (注意,如果两个链表相交则不能为 0)。
从各自的表头开始算起,链表 A 为 [4,1,8,4,5],链表 B 为 [5,6,1,8,4,5]。
在 A 中,相交节点前有 2 个节点;在 B 中,相交节点前有 3 个节点。
- 1
- 2
- 3
- 4
- 5
示例 2:

输入:intersectVal = 2, listA = [1,9,1,2,4], listB = [3,2,4], skipA = 3, skipB = 1
输出:Intersected at '2'
解释:相交节点的值为 2 (注意,如果两个链表相交则不能为 0)。
从各自的表头开始算起,链表 A 为 [1,9,1,2,4],链表 B 为 [3,2,4]。
在 A 中,相交节点前有 3 个节点;在 B 中,相交节点前有 1 个节点。
- 1
- 2
- 3
- 4
- 5
示例 3:

输入:intersectVal = 0, listA = [2,6,4], listB = [1,5], skipA = 3, skipB = 2
输出:null
解释:从各自的表头开始算起,链表 A 为 [2,6,4],链表 B 为 [1,5]。
由于这两个链表不相交,所以 intersectVal 必须为 0,而 skipA 和 skipB 可以是任意值。
这两个链表不相交,因此返回 null 。
- 1
- 2
- 3
- 4
- 5
提示:
listA中节点数目为mlistB中节点数目为n1 <= m, n <= 3 * 1041 <= Node.val <= 1050 <= skipA <= m0 <= skipB <= n- 如果
listA和listB没有交点,intersectVal为0 - 如果
listA和listB有交点,intersectVal == listA[skipA] == listB[skipB]
**进阶:**你能否设计一个时间复杂度 O(m + n) 、仅用 O(1) 内存的解决方案?
# Definition for singly-linked list.
# class ListNode:
# def __init__(self, x):
# self.val = x
# self.next = None
class Solution:
def getIntersectionNode(self, headA: ListNode, headB: ListNode) -> ListNode:
p=headA
q=headB
while p!=q:
if p:
p=p.next
else:
p=headB
if q:
q=q.next
else:
q=headA
return p
- 1
- 2
- 3
- 4
- 5
- 6
- 7
- 8
- 9
- 10
- 11
- 12
- 13
- 14
- 15
- 16
- 17
- 18
- 19
- 20
70. 删除排序链表中的重复元素 II
难度:中等
收藏
给定一个已排序的链表的头 head , 删除原始链表中所有重复数字的节点,只留下不同的数字 。返回 已排序的链表 。
示例 1:

输入:head = [1,2,3,3,4,4,5]
输出:[1,2,5]
- 1
- 2
示例 2:

输入:head = [1,1,1,2,3]
输出:[2,3]
- 1
- 2
提示:
- 链表中节点数目在范围
[0, 300]内 -100 <= Node.val <= 100- 题目数据保证链表已经按升序 排列
# Definition for singly-linked list.
# class ListNode:
# def __init__(self, val=0, next=None):
# self.val = val
# self.next = next
class Solution:
def deleteDuplicates(self, head: ListNode) -> ListNode:
dummy=ListNode()
dummy.next=head
p=dummy
while p.next:
q=p.next
while q and q.val==p.next.val:
q=q.next
if p.next.next==q:
p=p.next
else:
p.next=q
return dummy.next
- 1
- 2
- 3
- 4
- 5
- 6
- 7
- 8
- 9
- 10
- 11
- 12
- 13
- 14
- 15
- 16
- 17
- 18
- 19
文章来源: blog.csdn.net,作者:irrationality,版权归原作者所有,如需转载,请联系作者。
原文链接:blog.csdn.net/weixin_54227557/article/details/123095295
- 点赞
- 收藏
- 关注作者

评论(0)