【数据结构与算法】之面试必考的“二分算法”系统梳理
【摘要】
一、整数二分
整数二分说明
整数二分即为在整数集合上的二分,常见的用法有:在单调序列中查找「某个数是否出现过」、「某个数最早出现的位置」以及「>= 某个数中最小的数」等。解决这类问题的思想非常统...
一、整数二分
整数二分说明
- 整数二分即为在整数集合上的二分,常见的用法有:在单调序列中查找「某个数是否出现过」、「某个数最早出现的位置」以及「>= 某个数中最小的数」等。
- 解决这类问题的思想非常统一,即对坐标区间不断进行折半,以此在 O(log(n)) 的时间复杂度内确定答案,但其「实现方法」却非常多样,由此导致很多同学在此类问题上出错。
- 因此接下来将通过一个例题来介绍「记录 ans」的二分实现方法,该方法较易理解且不易出错。
整数二分示例
在排序数组中查找元素的第一个和最后一个位置。
① 题目说明
- 题目描述:给定一个按照升序排列的整数数组 nums,和一个目标值 target。找出给定目标值在数组中的开始位置和结束位置,如果数组中不存在目标值 target,返回 [-1, -1]。设计并实现时间复杂度为 O(log(n)) 的算法解决此问题。
- 示例一:
输入:nums = [5,7,7,8,8,10], target = 8
输出:[3,4]
- 1
- 2
- 示例二:
输入:nums = [5,7,7,8,8,10], target = 6
输出:[-1,-1]
- 1
- 2
- 示例三:
输入:nums = [], target = 0
输出:[-1,-1]
- 1
- 2
- 提示
-
- 0 <= nums.length <= 1e5;
-
- -1e9 <= nums[i] <= 1e9;
-
- nums 是一个非递减数组
-
- -1e9 <= target <= 1e9
② 题目解析
- 以数组 nums = [3 4 4 4 6],target = 4 进行举例,首先是确定 4 的开始位置,具体代码如下:
int l = 0, r = 4, ans = 0;
while (l <= r) {
int mid = (l + r) / 2;
if (nums[mid] >= target) {
ans = mid;
r = mid - 1;
}
else l = mid + 1;
}
if (nums[ans] != target) ans = -1;
- 1
- 2
- 3
- 4
- 5
- 6
- 7
- 8
- 9
- 10
- 上述代码在二分过程中,[l, r] 始终代表二分搜索的区间,而 ans 则代表「数组中第一个 >= target」的位置。最后再通过判断 nums[ans] 是否等于 target 来确定 target 是否存在于数组中。
③ 过程分析
- 我们来模拟一下这个过程,首先二分搜索区间为 [0, 4],因此 mid = 2。此时 nums[2] >= 4,即 2 可能是「数组中第一个 >= target」的位置,因此更新 ans 为 2。

- 又因为 nums[mid] >= 4,即答案一定不在右半区间,即 [3, 4],于是令 r = mid - 1,搜索区间变为 [0, 1]。此时 mid = 0,nums[0] < target,因此 mid 无法更新 ans。

- 由于 nums[mid] < target,因此答案一定不在左半区间,于是 l = mid + 1,搜索区间变为 [1, 1]。此时 mid = 1,nums[1] >= target,更新 ans = 1。

- 由于 nums[mid] >= target,于是 r = mid - 1,不再满足 l <= r 的条件,二分过程结束。最终 ans = 1,二分成功。
- 通过上述这个过程,可以总结出「整数二分」的实现规律:
-
- 首先由 while (l <= r) 来控制二分进程,每次计算 mid = (l + r) / 2,并判断 mid 是否为可能的答案。
-
- 如果是,则更新 ans,否则不更新。
-
- 另外根据 mid 判断接下来是搜索左半区间 [l, mid - 1],还是右半区间 [mid + 1, r],不断循环。
-
- 退出循环后,ans 即为要求的答案。
- 根据上述示例,便可以完成「查找 target 结束位置」的代码,并查看下述完整代码进行验证。
class Solution {
public:
vector<int> searchRange(vector<int>& nums, int target) {
int l = 0, r = nums.size() - 1, ans1 = 0, ans2 = 0;
while (l <= r) {
int mid = (l + r) / 2;
if (nums[mid] >= target) {
ans1 = mid;
r = mid - 1;
}
else l = mid + 1;
}
l = 0, r = nums.size() - 1;
while (l <= r) {
int mid = (l + r) / 2;
if (nums[mid] <= target) {
ans2 = mid;
l = mid + 1;
}
else r = mid - 1;
}
if (nums.size() && nums[ans1] == target) return {ans1, ans2};
else return {-1, -1};
}
};
- 1
- 2
- 3
- 4
- 5
- 6
- 7
- 8
- 9
- 10
- 11
- 12
- 13
- 14
- 15
- 16
- 17
- 18
- 19
- 20
- 21
- 22
- 23
- 24
- 25
二、实数二分
- 实数二分即为实数域上的二分,即二分搜索区间 [l, r] 从整数变为了实数。对比整数二分,实数二分的算法思想没有变化,唯一变化的只有二分实现方法。
- 通常来说实数二分有两种实现方法,第一种是通过确定好的精度 eps(如 1e-6、1e-8 等),以 l + eps < r 为循环条件,每次根据在 mid 上的判定,选择左半区间 [l, mid] 或右半区间 [mid, r]。循环结束后,l 即为最终答案,代码示例如下:
while (l + 1e-6 < r) {
double mid = (l + r) / 2;
if (check(mid)) l = mid;
else r = mid;
}
- 1
- 2
- 3
- 4
- 5
- 有时精度不容易确定,因此直接固定循环次数进行二分,即第二种方法。与第一种方法仅有「循环条件」的区别,代码示例如下:
for (int i = 0; i < 100; i++) {
double mid = (l + r) / 2;
if (check(mid)) l = mid;
else r = mid;
}
- 1
- 2
- 3
- 4
- 5
三、二分答案
- 二分算法成立的关键在于单调性,因此任何具有单调性的问题,都可以考虑在其上使用二分算法的可能性。
- 正是基于这一点,当问题的答案具有单调性时,我们可以通过二分将「问题的求解」转化为「问题的判定」,该方法即为「二分答案」。
① 寻找重复数
- 题目描述
-
- 给定一个包含 n + 1 个整数的数组 nums,其数字都在 1 到 n 之间(包括 1 和 n),可知至少存在一个重复的整数。
-
- 假设 nums 只有一个重复的整数,请找出这个重复的数,并只使用 O(1) 的额外空间。
-
- 示例 1
输入:nums = [1,3,4,2,2]
输出:2
- 1
- 2
-
- 示例 2
输入:nums = [3,1,3,4,2]
输出:3
- 1
- 2
-
- 示例 3
输入:nums = [1,1]
输出:1
- 1
- 2
-
- 示例 4
输入:nums = [1,1,2]
输出:1
- 1
- 2
-
- 提示:
-
-
- 2 <= n <= 3e4;
-
-
-
- nums.length == n + 1;
-
-
-
- 1 <= nums[i] <= n;
-
-
-
- nums 中只有一个整数出现两次或多次,其余整数均只出现一次;
-
- 题目分析
-
- 本题有很多种做法,但我们主要以该题为例来讲解「二分答案」,因此我们直接进入「二分答案」的思考过程。
-
- 一道题想要使用「二分答案」,其最大的前提是「答案有单调性」,而本题所求解的答案是显然的,即「重复数的值」。所以我们需要找到一个「判定条件」,使得对于二分区间 [l, r],我们可以根据其中值 mid 是否满足「判定条件」,来确定下一个搜索区间是左半部分还是右半部分。
-
- 在本题中,我们令 f(x) 表示数组中 <= x 的个数,则不难发现 f(x) 是关于 x 的单调函数,即随着 x 的变大,f(x) 要么变大要么不变。
-
- 具体来说,假设重复数为 A,则对于所有小于 A 的数 x,f(x) = x;而所有大于等于 A 的数 y,f(y) > y。例如对于数组 [1 2 2 2 3],n = 4,f(1) = 1,f(2) = 4,f(3) = 5,f(4) = 5。
-
- 由此我们可以通过「二分答案」来解决本题,对于二分区间 [l, r],其中值为 mid,若 f(mid) > mid,则说明重复数小于等于 mid,因此更新 ans = mid,且将二分区间变为 [l, mid - 1];否则不更新 ans 且二分区间变为 [mid + 1, r]。
-
- 二分答案的时间复杂度为 O(log(n)),对于特定的 mid,求解 f(mid) 的时间复杂度为 O(n),因此本题总的时间复杂度为 O(nlog(n)),具体代码如下所示:
class Solution {
public:
bool check(vector<int>& nums, int mid) {
int cnt = 0;
for (int x:nums) {
if (x <= mid) cnt++;
}
if (cnt > mid) return 1;
else return 0;
}
int findDuplicate(vector<int>& nums) {
int l = 1, r = nums.size(), ans = 0;
while (l <= r) {
int mid = (l + r) / 2;
if (check(nums, mid)) {
ans = mid;
r = mid - 1;
}
else l = mid + 1;
}
return ans;
}
};
- 1
- 2
- 3
- 4
- 5
- 6
- 7
- 8
- 9
- 10
- 11
- 12
- 13
- 14
- 15
- 16
- 17
- 18
- 19
- 20
- 21
- 22
- 23
-
- 其中 while 循环中的 check 函数即为「二分答案」问题中的「判定条件」。对于「二分答案」所适用的题目,我们通常只需对 check 函数进行修改,while 循环中的部分基本不变。
② 分割数组的最大值
- 题目描述
-
- 给定一个非负整数数组 nums 和一个整数 m,你需要将这个数组分成 m 个非空的连续子数组。
-
- 设计一个算法使得这 m 个子数组各自和的最大值最小。
-
- 示例 1
输入:nums = [7,2,5,10,8], m = 2
输出:18
解释:
一共有四种方法将 nums 分割为 2 个子数组。其中最好的方式是将其分为 [7,2,5] 和 [10,8] 。因为此时这两个子数组各自的和的最大值为18,在所有情况中最小。
- 1
- 2
- 3
- 4
-
- 示例 2
输入:nums = [1,2,3,4,5], m = 2
输出:9
- 1
- 2
-
- 示例 3
输入:nums = [1,4,4], m = 3
输出:4
- 1
- 2
-
- 提示
-
-
- 1 <= nums.length <= 1000
-
-
-
- 0 <= nums[i] <= 1e6
-
-
-
- 1 <= m <= min(50, nums.length)
-
- 题目分析
-
- 查看题干,「最大值最小」,这是答案具有单调性,可用二分将「问题求解」转换为「问题判定」最常见、最典型的特征之一。
-
- 具体来说,在本题中,若「子数组和的最大值小于等于 x」符合数组分割要求,则比 x 更大的答案也一定符合要求。即当 x 为负数时,数组分割要求无法满足,但随着 x 的不断变大,会有一个分界点 A,当 x 大于等于 A 时,数组分割要求即可满足,而这个 A 即为本题答案。
-
- 由此本题从「求解 A」转换为了「二分 A 并判断数组分割要求是否可以满足」。对于二分区间 [l, r],其中值为 mid,若 mid 满足数组分割要求,则更新 ans = mid,二分区间变为 [l, mid - 1];否则不更新 ans 且二分区间变为 [mid + 1, r]。
-
- 所以本题的「判定条件」为:对于特定的 mid,判断当子数组和的最大值 <= mid 时,子数组是否可以分成 m 个非空的连续子数组。
-
- 对于该「判定条件」,我们可以使用贪心算法,从前往后遍历数组,用 sum 表示当前分割子数组的和,cnt 表示已经分割出的子数组的数量。若 sum 加上当前值 nums[i] 大于 x,则将 cnt 加 1,并将当前值作为新的一段分割子数组的开头,即 sum = nums[i]。遍历结束后,若 cnt <= m,则判定条件可以满足,否则无法满足。
-
- 由此本题得以解决,具体代码如下所示:
class Solution {
public:
bool check(vector<int>& nums, int m, int mid) {
int len = nums.size(), sum = 0, cnt = 1;
for (int x:nums) {
if (x > mid) return 0;
if (sum + x <= mid) sum += x;
else sum = x, cnt++;
}
return cnt <= m;
}
int splitArray(vector<int>& nums, int m) {
int l = 0, r = 1e9, ans = 0;
while (l <= r) {
int mid = (l + r) / 2;
if (check(nums, m, mid)) {
ans = mid;
r = mid - 1;
}
else l = mid + 1;
}
return ans;
}
};
- 1
- 2
- 3
- 4
- 5
- 6
- 7
- 8
- 9
- 10
- 11
- 12
- 13
- 14
- 15
- 16
- 17
- 18
- 19
- 20
- 21
- 22
- 23
- 24
-
- 总结一下,当问题的答案具有单调性时,我们可以通过「二分答案」将「问题的求解」转换为「问题的判定」,进而完成解题的过程。
四、综合练习(寻找两个正序数组的中位数)
- 这是一道经典二分题为例进行综合练习,该题目难度较大,也是一道经典的面试题,希望大家能好好理解并掌握。
① 题目描述
- 给定两个大小为 m 和 n 的正序(从小到大)数组 nums1 和 nums2。请你找出并返回这两个正序数组的中位数,且时间复杂度不高于 O(log (m+n))。
- 示例 1
输入:nums1 = [1,3], nums2 = [2]
输出:2.00000
解释:合并数组 = [1,2,3] ,中位数 2
- 1
- 2
- 3
- 示例 2
输入:nums1 = [1,2], nums2 = [3,4]
输出:2.50000
解释:合并数组 = [1,2,3,4] ,中位数 (2 + 3) / 2 = 2.5
- 1
- 2
- 3
- 示例 3
输入:nums1 = [0,0], nums2 = [0,0]
输出:0.00000
- 1
- 2
- 示例 4
输入:nums1 = [], nums2 = [1]
输出:1.00000
- 1
- 2
- 示例 5
输入:nums1 = [2], nums2 = []
输出:2.00000
- 1
- 2
- 提示:
-
- nums1.length == m
-
- nums2.length == n
-
- 0 <= m <= 1000
-
- 0 <= n <= 1000
-
- 1 <= m + n <= 2000
-
- -1e6 <= nums1[i], nums2[i] <= 1e6
② 题目讲解
- 首先考虑一下本题能否「二分答案」,由于奇数长度与偶数长度解法类似,因此仅考虑 m + n 为奇数时的情况。
- 当 m + n 为奇数时,中位数即为两个数组排序后第 (m + n + 1) / 2 个数,因此令 f(x) 表示两个数组中 <= x 的数的个数,中位数即为满足 f(x) >= (m + n + 1) / 2 中最小的 x。由于两个数组均为正序,因此对于一个特定的 x,我们可以通过两次二分在 O(log(n) + log(m)) 的时间复杂度内求得 f(x)。
- 由此我们可以得知「二分答案」的时间复杂度为 O(log(2e6)(log(n)+log(m))),其中 2e6 为「二分答案」初始区间 [-1e6, 1e6] 的长度。因此「二分答案」无法达到「时间复杂度不高于 O(log (m+n))」的要求,我们需要转换思路。
- 重新思考中位数的作用,我们可以发现:中位数常用于将一个序列划分为长度最多相差 1 的两部分,且其中一部分的元素始终大于等于另一部分。
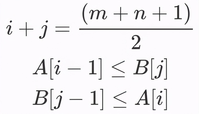
- 为了便于表述,将 nums1 和 nums2 数组分别记为 A 和 B。接下来模拟序列的划分过程,在 A 数组中选取前 i 个数(A[0], A[1], …, A[i-1]),在 B 数组中选取前 j 个数(B[0], B[1], …, B[j-1])。这 i + j 个数组成第一部分,剩下的 n + m - i - j 个数为第二部分。
- 进一步地,当 m + n 为偶数时,两部分长度一致,且第一部分最大值小于等于第二部分最小值,即:

- 此时中位数等于:

- 当 m + n 为奇数时,我们规定第一部分长度比第二部分大 1,且两部分的最值关系依然满足,即:

- 此时中位数等于:

- 观察上述两个式子,发现无论 m + n 为奇还是偶,均满足:

- 因此为了便于计算,将

- 与

- 统一为如下,此处为整除

- 又因为 A、B 均为升序数组,因此上述两个式子可以修改为:

- 不难发现,临界点 (i, j) 刚好满足 i、j 划分数组的要求,因此本题可以通过二分 i 的位置,寻找最大的满足 A[i-1] ≤ B[j] 的 i,即可完成数组划分并求得中位数。
- 另外需要注意 i、j 可能会超出数组范围,因此规定 A[-1] = B[-1] = -1e9,A[m] = B[n] = 1e9。由此本题得以解决,时间复杂度为 O(log(min(m, n))),满足题目要求。
③ 代码实现
class Solution {
public:
double findMedianSortedArrays(vector<int>& nums1, vector<int>& nums2) {
if (nums1.size() > nums2.size()) swap(nums1, nums2);
int n = nums1.size(), m = nums2.size(), l = 0, r = n, ans = 0;
while (l <= r) {
int i = (l + r) / 2, j = (n + m + 1) / 2 - i;
if (i <= 0 || j >= m || nums1[i-1] <= nums2[j]) {
ans = i;
l = i + 1;
}
else r = i - 1;
}
int i = ans, j = (n + m + 1) / 2 - i, x1 = -1e9, x2 = -1e9, x3 = 1e9, x4 = 1e9;
if (i > 0) x1 = nums1[i-1];
if (j > 0) x2 = nums2[j-1];
if (i < n) x3 = nums1[i];
if (j < m) x4 = nums2[j];
if ((n + m) % 2) return max(x1, x2);
else return (max(x1, x2) + min(x3, x4)) / 2.0;
}
};
- 1
- 2
- 3
- 4
- 5
- 6
- 7
- 8
- 9
- 10
- 11
- 12
- 13
- 14
- 15
- 16
- 17
- 18
- 19
- 20
- 21
- 22
五、总结
- 二分是一个非常常见却又极其精妙的算法,经常成为解题的一个突破口。该算法一共有三类常见应用,即「整数二分」、「实数二分」以及「二分答案」,其中「二分答案」能将「问题的求解」转换为「问题的判定」,因此应用非常广泛。
- 二分并没有固定的模板与套路,灵活性非常高,因此我们需要深刻理解其算法思想,并加以习题来巩固,以期早日掌握。
文章来源: blog.csdn.net,作者:Serendipity·y,版权归原作者所有,如需转载,请联系作者。
原文链接:blog.csdn.net/Forever_wj/article/details/114344366
【版权声明】本文为华为云社区用户转载文章,如果您发现本社区中有涉嫌抄袭的内容,欢迎发送邮件进行举报,并提供相关证据,一经查实,本社区将立刻删除涉嫌侵权内容,举报邮箱:
cloudbbs@huaweicloud.com
- 点赞
- 收藏
- 关注作者
评论(0)