【数据结构与算法】之深入解析“不同的二叉搜索树”的求解思路与算法示例
【摘要】
一、题目要求
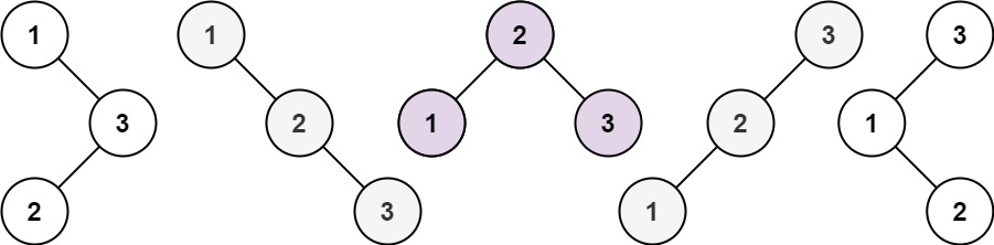
给你一个整数 n ,求恰由 n 个节点组成且节点值从 1 到 n 互不相同的二叉搜索树有多少种?返回满足题意的二叉搜索树的种数。示例 1:
输入:n = 3
输出:5
12
示例 ...
一、题目要求
- 给你一个整数 n ,求恰由 n 个节点组成且节点值从 1 到 n 互不相同的二叉搜索树有多少种?返回满足题意的二叉搜索树的种数。
- 示例 1:

输入:n = 3
输出:5
- 1
- 2
- 示例 2:
输入:n = 1
输出:1
- 1
- 2
二、求解算法
① 动态规划
- 思路:
-
- 给定一个有序序列 1⋯n,为了构建出一棵二叉搜索树,我们可以遍历每个数字 i,将该数字作为树根,将 1⋯(i−1) 序列作为左子树,将 (i+1)⋯n 序列作为右子树。接着我们可以按照同样的方式递归构建左子树和右子树。
-
- 在上述构建的过程中,由于根的值不同,因此我们能保证每棵二叉搜索树是唯一的。
-
- 由此可见,原问题可以分解成规模较小的两个子问题,且子问题的解可以复用。因此,我们可以想到使用动态规划来求解本题。
- 算法:
-
- 题目要求是计算不同二叉搜索树的个数。为此,可以定义两个函数:
-
-
- G(n): 长度为 n 的序列能构成的不同二叉搜索树的个数。
-
-
-
- F(i,n): 以 i 为根、序列长度为 n 的不同二叉搜索树个数 (1≤i≤n)。
-
-
- 可见,G(n) 是求解需要的函数。
-
- 稍后我们将看到,G(n) 可以从 F(i,n) 得到,而 F(i,n) 又会递归地依赖于 G(n)。
-
- 首先,根据上一节中的思路,不同的二叉搜索树的总数 G(n),是对遍历所有 (1≤i≤n) 的 F(i,n) 之和。换言之:

-
- 对于边界情况,当序列长度为 1(只有根)或为 0(空树)时,只有一种情况,即:

-
- 给定序列 1⋯n,我们选择数字 i 作为根,则根为 i 的所有二叉搜索树的集合是左子树集合和右子树集合的笛卡尔积,对于笛卡尔积中的每个元素,加上根节点之后形成完整的二叉搜索树,如下图所示:

-
- 举例而言,创建以 3 为根、长度为 7 的不同二叉搜索树,整个序列是 [1,2,3,4,5,6,7],需要从左子序列 [1,2] 构建左子树,从右子序列 [4,5,6,7] 构建右子树,然后将它们组合(即笛卡尔积)。
-
- 对于这个例子,不同二叉搜索树的个数为 F(3,7),将 [1,2] 构建不同左子树的数量表示为 G(2), 从 [4,5,6,7] 构建不同右子树的数量表示为 G(4),注意到 G(n) 和序列的内容无关,只和序列的长度有关。于是,F(3,7)=G(2)⋅G(4)。 因此,可以得到以下公式:

-
- 将公式 (1),(2) 结合,可以得到 G(n) 的递归表达式:

-
- 至此,从小到大计算 G 函数即可,因为 G(n) 的值依赖于 G(0)⋯G(n−1)。
- C++ 示例:
class Solution {
public:
int numTrees(int n) {
vector<int> G(n + 1, 0);
G[0] = 1;
G[1] = 1;
for (int i = 2; i <= n; ++i) {
for (int j = 1; j <= i; ++j) {
G[i] += G[j - 1] * G[i - j];
}
}
return G[n];
}
};
- 1
- 2
- 3
- 4
- 5
- 6
- 7
- 8
- 9
- 10
- 11
- 12
- 13
- 14
- 15
- Java 示例:
class Solution {
public int numTrees(int n) {
int[] G = new int[n + 1];
G[0] = 1;
G[1] = 1;
for (int i = 2; i <= n; ++i) {
for (int j = 1; j <= i; ++j) {
G[i] += G[j - 1] * G[i - j];
}
}
return G[n];
}
}
- 1
- 2
- 3
- 4
- 5
- 6
- 7
- 8
- 9
- 10
- 11
- 12
- 13
- 14
- 复杂度分析
-
- 时间复杂度 : O(n2),其中 n 表示二叉搜索树的节点个数。G(n) 函数一共有 n 个值需要求解,每次求解需要 O(n) 的时间复杂度,因此总时间复杂度为 O(n2)。
-
- 空间复杂度 : O(n),需要 O(n) 的空间存储 G 数组。
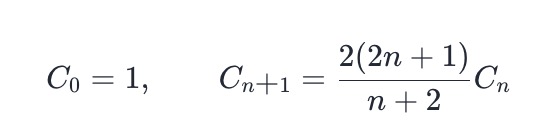
② 数学的思路与算法
- 上面的方法中推导出的 G(n)函数的值在数学上被称为卡塔兰数 Cn。卡塔兰数更便于计算的定义如下:

- C++ 示例:
class Solution {
public:
int numTrees(int n) {
long long C = 1;
for (int i = 0; i < n; ++i) {
C = C * 2 * (2 * i + 1) / (i + 2);
}
return (int)C;
}
};
- 1
- 2
- 3
- 4
- 5
- 6
- 7
- 8
- 9
- 10
- Java 示例:
class Solution {
public int numTrees(int n) {
// 需要用 long 类型防止计算过程中的溢出
long C = 1;
for (int i = 0; i < n; ++i) {
C = C * 2 * (2 * i + 1) / (i + 2);
}
return (int) C;
}
}
- 1
- 2
- 3
- 4
- 5
- 6
- 7
- 8
- 9
- 10
- 复杂度分析:
-
- 时间复杂度 : O(n),其中 n 表示二叉搜索树的节点个数,只需要循环遍历一次即可。
-
- 空间复杂度 : O(1),只需要常数空间存放若干变量。
三、博客之星助力
- 今年是我第一次参加博客之星,需要各位大佬的支持,麻烦百忙之中,抽出一点宝贵的时间,给我投一下票:https://bbs.csdn.net/topics/603955258 给我一个五星(列表会一一全部回复),不胜感激!
文章来源: blog.csdn.net,作者:Serendipity·y,版权归原作者所有,如需转载,请联系作者。
原文链接:blog.csdn.net/Forever_wj/article/details/122329800
【版权声明】本文为华为云社区用户转载文章,如果您发现本社区中有涉嫌抄袭的内容,欢迎发送邮件进行举报,并提供相关证据,一经查实,本社区将立刻删除涉嫌侵权内容,举报邮箱:
cloudbbs@huaweicloud.com
- 点赞
- 收藏
- 关注作者
评论(0)