【数据结构与算法】之深入解析“删除链表的倒数第N个结点”的求解思路与算法示例
【摘要】
一、题目要求
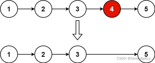
给你一个链表,删除链表的倒数第 n 个结点,并且返回链表的头结点。示例 1:
输入:head = [1,2,3,4,5], n = 2
输出:[1,2,3,5]
12
示例 2: ...
一、题目要求
- 给你一个链表,删除链表的倒数第 n 个结点,并且返回链表的头结点。
- 示例 1:

输入:head = [1,2,3,4,5], n = 2
输出:[1,2,3,5]
- 1
- 2
- 示例 2:
输入:head = [1], n = 1
输出:[]
- 1
- 2
- 示例 3:
输入:head = [1,2], n = 1
输出:[1]
- 1
- 2
- 提示:
-
- 链表中结点的数目为 sz;
-
- 1 <= sz <= 30;
-
- 0 <= Node.val <= 100;
-
- 1 <= n <= sz。
二、求解算法
① 双指针
- 题目要求删除倒数的第 n 个节点,可以先让快指针先走 n 步,接着快慢指针一起向前走,知道快指针指向尾部,这样慢指针之后的就是要删除的:

- 定义虚拟的头节点,这样都链表中所有的节点都是一样的操作;
- 定义两个指针分别是 fast 和 slow;
- 先让 fast 指针走 n+1 步,这样做的目的是以后 fast 指针指向链表尾部为空的时候,slow 指针正好指向要删除的节点前面的节点;
- 让快慢指针一起运动,直到快指针指向空;
- 删除慢指针后面的元素,返回虚拟头节点的下一个元素即可。
- Swift 示例:
func removeNthFromEnd(_ head: ListNode?, _ n: Int) -> ListNode? {
guard head?.next != nil else {
if head == nil || n == 1 {
return nil
} else {
return head
}
}
var count = 1
var current = head
var toDeletePre: ListNode?
while current?.next != nil {
current = current?.next
count += 1
if count == n + 1 {
toDeletePre = head
} else if count > n + 1 {
toDeletePre = toDeletePre?.next
}
}
if count == n {
return head?.next
}
if toDeletePre != nil {
toDeletePre?.next = toDeletePre?.next?.next
}
return head
}
- 1
- 2
- 3
- 4
- 5
- 6
- 7
- 8
- 9
- 10
- 11
- 12
- 13
- 14
- 15
- 16
- 17
- 18
- 19
- 20
- 21
- 22
- 23
- 24
- 25
- 26
- 27
- 28
- 29
- 30
- 31
- Java 示例:
public ListNode removeNthFromEnd(ListNode head, int n) {
ListNode dummyhead = new ListNode(-1,head);
ListNode fast = dummyhead;
ListNode slow = dummyhead;
for(int i = 0; i <= n; ++i){
if(fast != null)
fast = fast.next;
}
while (fast != null){
fast = fast.next;
slow = slow.next;
}
slow.next = slow.next.next;
return dummyhead.next;
}
- 1
- 2
- 3
- 4
- 5
- 6
- 7
- 8
- 9
- 10
- 11
- 12
- 13
- 14
- 15
- 16
- 17
② 计算链表长度(LeetCode官方解法)
- 一种容易想到的方法是,首先从头节点开始对链表进行一次遍历,得到链表的长度 L。随后我们再从头节点开始对链表进行一次遍历,当遍历到第 L−n+1 个节点时,它就是我们需要删除的节点。
- 为了与题目中的 n 保持一致,节点的编号从 1 开始,头节点为编号 1 的节点。
- 为了方便删除操作,可以从哑节点开始遍历 L−n+1 个节点。当遍历到第 L−n+1 个节点时,它的下一个节点就是需要删除的节点,这样只需要修改一次指针,就能完成删除操作。

- C++ 示例:
class Solution {
public:
int getLength(ListNode* head) {
int length = 0;
while (head) {
++length;
head = head->next;
}
return length;
}
ListNode* removeNthFromEnd(ListNode* head, int n) {
ListNode* dummy = new ListNode(0, head);
int length = getLength(head);
ListNode* cur = dummy;
for (int i = 1; i < length - n + 1; ++i) {
cur = cur->next;
}
cur->next = cur->next->next;
ListNode* ans = dummy->next;
delete dummy;
return ans;
}
};
- 1
- 2
- 3
- 4
- 5
- 6
- 7
- 8
- 9
- 10
- 11
- 12
- 13
- 14
- 15
- 16
- 17
- 18
- 19
- 20
- 21
- 22
- 23
- 24
- Java 示例:
class Solution {
public ListNode removeNthFromEnd(ListNode head, int n) {
ListNode dummy = new ListNode(0, head);
int length = getLength(head);
ListNode cur = dummy;
for (int i = 1; i < length - n + 1; ++i) {
cur = cur.next;
}
cur.next = cur.next.next;
ListNode ans = dummy.next;
return ans;
}
public int getLength(ListNode head) {
int length = 0;
while (head != null) {
++length;
head = head.next;
}
return length;
}
}
- 1
- 2
- 3
- 4
- 5
- 6
- 7
- 8
- 9
- 10
- 11
- 12
- 13
- 14
- 15
- 16
- 17
- 18
- 19
- 20
- 21
- 22
文章来源: blog.csdn.net,作者:Serendipity·y,版权归原作者所有,如需转载,请联系作者。
原文链接:blog.csdn.net/Forever_wj/article/details/122548202
【版权声明】本文为华为云社区用户转载文章,如果您发现本社区中有涉嫌抄袭的内容,欢迎发送邮件进行举报,并提供相关证据,一经查实,本社区将立刻删除涉嫌侵权内容,举报邮箱:
cloudbbs@huaweicloud.com
- 点赞
- 收藏
- 关注作者
评论(0)