【数据结构与算法】之深入解析“K个一组翻转链表”的求解思路与算法示例
【摘要】
一、题目要求
给你一个链表,每 k 个节点一组进行翻转,请你返回翻转后的链表。k 是一个正整数,它的值小于或等于链表的长度。如果节点总数不是 k 的整数倍,那么请将最后剩余的节点保持原有顺序。进阶:
...
一、题目要求
- 给你一个链表,每 k 个节点一组进行翻转,请你返回翻转后的链表。
- k 是一个正整数,它的值小于或等于链表的长度。
- 如果节点总数不是 k 的整数倍,那么请将最后剩余的节点保持原有顺序。
- 进阶:
-
- 可以设计一个只使用常数额外空间的算法来解决此问题吗?
-
- 不能只是单纯的改变节点内部的值,而是需要实际进行节点交换。
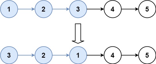
- 示例 1:

输入:head = [1,2,3,4,5], k = 2
输出:[2,1,4,3,5]
- 1
- 2
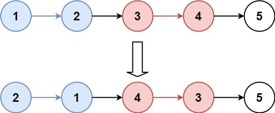
- 示例 2:

输入:head = [1,2,3,4,5], k = 3
输出:[3,2,1,4,5]
- 1
- 2
- 示例 3:
输入:head = [1,2,3,4,5], k = 1
输出:[1,2,3,4,5]
- 1
- 2
- 示例 4:
输入:head = [1], k = 1
输出:[1]
- 1
- 2
- 提示:
-
- 列表中节点的数量在范围 sz 内;
-
- 1 <= sz <= 5000;
-
- 0 <= Node.val <= 1000;
-
- 1 <= k <= sz。
二、求解算法
① 模拟
- 链表分区为已翻转部分+待翻转部分+未翻转部分;
- 每次翻转前,要确定翻转链表的范围,这个必须通过 k 此循环来确定;
- 需记录翻转链表前驱和后继,方便翻转完成后把已翻转部分和未翻转部分连接起来;
- 初始需要两个变量 pre 和 end,pre 代表待翻转链表的前驱,end 代表待翻转链表的末尾;
- 经过 k 此循环,end 到达末尾,记录待翻转链表的后继 next = end.next;
- 翻转链表,然后将三部分链表连接起来,然后重置 pre 和 end 指针,然后进入下一次循环;
- 特殊情况,当翻转部分长度不足 k 时,在定位 end 完成后,end==null,已经到达末尾,说明题目已完成,直接返回即可;

- Java 示例:
public ListNode reverseKGroup(ListNode head, int k) {
ListNode dummy = new ListNode(0);
dummy.next = head;
ListNode pre = dummy;
ListNode end = dummy;
while (end.next != null) {
for (int i = 0; i < k && end != null; i++) end = end.next;
if (end == null) break;
ListNode start = pre.next;
ListNode next = end.next;
end.next = null;
pre.next = reverse(start);
start.next = next;
pre = start;
end = pre;
}
return dummy.next;
}
private ListNode reverse(ListNode head) {
ListNode pre = null;
ListNode curr = head;
while (curr != null) {
ListNode next = curr.next;
curr.next = pre;
pre = curr;
curr = next;
}
return pre;
}
- 1
- 2
- 3
- 4
- 5
- 6
- 7
- 8
- 9
- 10
- 11
- 12
- 13
- 14
- 15
- 16
- 17
- 18
- 19
- 20
- 21
- 22
- 23
- 24
- 25
- 26
- 27
- 28
- 29
- 30
- 31
- 32
- 33
② 递归
- 找到待翻转的 k 个节点(注意:若剩余数量小于 k 的话,则不需要反转,因此直接返回待翻转部分的头结点即可)。
- 对其进行翻转,并返回翻转后的头结点(注意:翻转为左闭又开区间,所以本轮操作的尾结点其实就是下一轮操作的头结点)。
- 对下一轮 k 个节点也进行翻转操作;
- 将上一轮翻转后的尾结点指向下一轮翻转后的头节点,即将每一轮翻转的 k 的节点连接起来。

- Java 示例:
public ListNode reverseKGroup(ListNode head, int k) {
if (head == null || head.next == null) {
return head;
}
ListNode tail = head;
for (int i = 0; i < k; i++) {
//剩余数量小于k的话,则不需要反转。
if (tail == null) {
return head;
}
tail = tail.next;
}
// 反转前 k 个元素
ListNode newHead = reverse(head, tail);
//下一轮的开始的地方就是tail
head.next = reverseKGroup(tail, k);
return newHead;
}
/*
左闭又开区间
*/
private ListNode reverse(ListNode head, ListNode tail) {
ListNode pre = null;
ListNode next = null;
while (head != tail) {
next = head.next;
head.next = pre;
pre = head;
head = next;
}
return pre;
}
- 1
- 2
- 3
- 4
- 5
- 6
- 7
- 8
- 9
- 10
- 11
- 12
- 13
- 14
- 15
- 16
- 17
- 18
- 19
- 20
- 21
- 22
- 23
- 24
- 25
- 26
- 27
- 28
- 29
- 30
- 31
- 32
- 33
- 34
- 35
文章来源: blog.csdn.net,作者:Serendipity·y,版权归原作者所有,如需转载,请联系作者。
原文链接:blog.csdn.net/Forever_wj/article/details/122609004
【版权声明】本文为华为云社区用户转载文章,如果您发现本社区中有涉嫌抄袭的内容,欢迎发送邮件进行举报,并提供相关证据,一经查实,本社区将立刻删除涉嫌侵权内容,举报邮箱:
cloudbbs@huaweicloud.com
- 点赞
- 收藏
- 关注作者
评论(0)