学习笔记|正交矩阵
【摘要】 正交矩阵是矩阵中一个非常重要的概念,在特征值分解、奇异值分解等领域都有应用(可参见AI数学基础之线性代数——华为AI学习笔记4)1. 定义2. 性质证:得证2.2. 若A是正交矩阵,则A的各列都是单位向量,且两两正交。证:i=1,2,...,n所以i=1,2,...,n,j=1,2,...,n且i≠j得证2.3. 若A是正交矩阵,则A的各行都是单位向量,且两两正交。证:略,可参见2.2.的证...
正交矩阵是矩阵中一个非常重要的概念,在特征值分解、奇异值分解等领域都有应用(可参见AI数学基础之线性代数——华为AI学习笔记4)
1. 定义

2. 性质
证:

得证
2.2. 若A是正交矩阵,则A的各列都是单位向量,且两两正交。
证:

i=1,2,...,n
所以

i=1,2,...,n,j=1,2,...,n且i≠j

得证
2.3. 若A是正交矩阵,则A的各行都是单位向量,且两两正交。
证:
略,可参见2.2.的证明
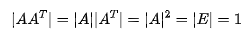
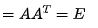
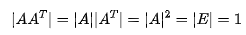
2.4. 若A是正交矩阵,则|A|=1或|A|=-1。
证:

可参见学习笔记|矩阵的行列式)
所以
|A|=1或|A|=-1
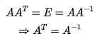
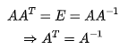
证:

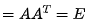
证:



2.7. 若A、B是正交矩阵,则AB是正交矩阵。
证:

(可参见学习笔记|矩阵转置的性质4)

得证。
参考文献
1.https://baike.baidu.com/item/%E6%AD%A3%E4%BA%A4%E7%9F%A9%E9%98%B5/407284?fr=aladdin
【声明】本内容来自华为云开发者社区博主,不代表华为云及华为云开发者社区的观点和立场。转载时必须标注文章的来源(华为云社区)、文章链接、文章作者等基本信息,否则作者和本社区有权追究责任。如果您发现本社区中有涉嫌抄袭的内容,欢迎发送邮件进行举报,并提供相关证据,一经查实,本社区将立刻删除涉嫌侵权内容,举报邮箱:
cloudbbs@huaweicloud.com
- 点赞
- 收藏
- 关注作者



评论(0)