学习笔记|拟牛顿法
【摘要】 由于牛顿法对目标函数具有很高的要求。它要求目标函数必须是二阶可导。并且,牛顿法的每一次迭代都需要计算Hessian矩阵及其逆矩阵,计算量比较大,甚至可能由于逆矩阵不存在而无法计算。拟牛顿法就是牛顿法的近似解法,学习笔记|线性可分支持向量机学习的间隔最大算法、学习笔记|最大熵模型学习的拟牛顿法、学习笔记|logistic回归等处都有涉及。1. 拟牛顿条件对x求偏导可得记那么进一步令则有这就是拟...
由于牛顿法对目标函数具有很高的要求。它要求目标函数必须是二阶可导。并且,牛顿法的每一次迭代都需要计算Hessian矩阵及其逆矩阵,计算量比较大,甚至可能由于逆矩阵不存在而无法计算。拟牛顿法就是牛顿法的近似解法,学习笔记|线性可分支持向量机学习的间隔最大算法、学习笔记|最大熵模型学习的拟牛顿法、学习笔记|logistic回归等处都有涉及。
1. 拟牛顿条件


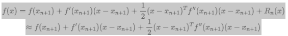
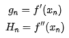
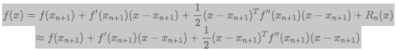
对x求偏导可得



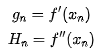
记

那么

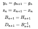
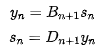
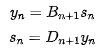
进一步令

则有

这就是拟牛顿条件,根据构造逼近矩阵的不同,拟牛顿法又分DFP法、BFGS法等。
2. DFP法
DFP法的核心思想在于通过迭代的方法,逐步逼近Hessian矩阵。在DFP矩阵中,逼近Hessian矩阵的矩阵记为D,它的迭代公式为
其中,向量u、v为待定向量。
由于的维度是
为了简便,令
于是

再令
DFP算法流程:



令:


6)k=k+1,转第2)步。
3. BFGS法
在BFGS法中,用B表示Hessian矩阵的近似矩阵,它的迭代公式
于是
同样令
于是有

再令
根据Sherman-Morrison公式

BFGS算法流程:

3)解方程组



令:

7)k=k+1,转第3)步。
BFGS算法流程也可以参见学习笔记|最大熵模型学习的拟牛顿法)。
参考文献
1.https://blog.csdn.net/songbinxu/article/details/79677948
2.https://www.cnblogs.com/liuwu265/p/4714396.html
【声明】本内容来自华为云开发者社区博主,不代表华为云及华为云开发者社区的观点和立场。转载时必须标注文章的来源(华为云社区)、文章链接、文章作者等基本信息,否则作者和本社区有权追究责任。如果您发现本社区中有涉嫌抄袭的内容,欢迎发送邮件进行举报,并提供相关证据,一经查实,本社区将立刻删除涉嫌侵权内容,举报邮箱:
cloudbbs@huaweicloud.com
- 点赞
- 收藏
- 关注作者
评论(0)