学习笔记|凸优化问题中的牛顿法
学习笔记|牛顿法介绍了非线性方程求解中的牛顿法,再来看凸优化问题中的牛顿法。
1. 凸优化中的牛顿法
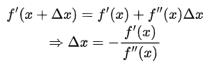
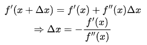
在凸优化问题中,局部最优即为全局最优。除了端点外,目标函数f(x)的极值点必有f'(x)=0。因此,凸优化问题可转化为求解f'(x)=0。
对f'(x)进行一阶泰勒展开

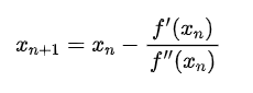
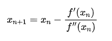
因此,迭代公式为

2. 多维凸优化中的牛顿法
定义H为hessian矩阵

多维下的迭代公式为

迭代终止条件为
3. 牛顿法的Python实现
首先计算偏导数
def df(x, i):
nx = x.copy()
nx[i] += 0.0001
return (f(nx)-f(x))/0.0001
然后计算梯度
def gf(x):
gx = x.copy()
for i in range(len(x)):
gx[i] = df(x, i)
return gx
计算二阶偏导数
def ddf(x, i, j):
nx = x.copy()
nx[j] += 0.0001
return (df(nx, i)-df(x, i))/0.0001
计算Hessian矩阵
def H(x):
H = np.zeros((len(x), len(x)))
for i in range(len(x)):
for j in range(len(x)):
H[i, j] = ddf(x, i, j)
return H
改写牛顿迭代法的实现(原始的牛顿迭代法可参见学习笔记|牛顿法)
def newtonmethod(n, iv, e=0.000001):
iv = np.array(iv, dtype=float)
cn = 1
g = gf(iv)
v = iv - np.dot(np.linalg.inv(H(iv)), g)
while cn < n and np.sqrt(np.sum(g ** 2)) > e:
cn += 1
iv = v
g = gf(iv)
v = iv - np.dot(np.linalg.inv(H(iv)), g)
print(cn, v)
return v
最后,为了验证牛顿法实现的准确性,引用参考文献3第17页的例子进行验证。
f(x)为
def f(x):
return np.exp(x[0])*(4*x[0]**2+2*x[1]**2+3*x[0]*x[1]+2*x[1]+3)
输入
print(newtonmethod(100, (1, 1)))
得到
2 [ 0.77934187 -1.3493452 ]
3 [ 0.37538269 -0.88852594]
4 [ 0.05816671 -0.57757567]
5 [-0.15668942 -0.38980094]
6 [-0.26447199 -0.30247133]
7 [-0.29196656 -0.28109434]
8 [-0.29363991 -0.27981997]
9 [-0.2936462 -0.27981535]
10 [-0.2936462 -0.27981535]
[-0.2936462 -0.27981535]
得到的结果与案例3一致。
参考文献
1.https://blog.csdn.net/michaelhan3/article/details/82350047
2.https://blog.csdn.net/itplus/article/details/21896453
3.https://max.book118.com/html/2018/0514/166248355.shtm
- 点赞
- 收藏
- 关注作者
评论(0)