[Java][华为云Java编程创造营][学习笔记][技能栈基本要求之数据结构][树][二叉树]
【摘要】 [Java][华为云Java编程创造营][学习笔记][技能栈基本要求之数据结构][树][二叉树] 1,什么是树日常生活中很多事物都可以用树来描述,例如书的目录,工作单位的组织架构等等。树是计算机中非常重要的一种数据结构,树存储方式可以提高数据存储、读取的效率,比如利用二叉排序树,既可以保证数据的检索速度,同时也可以保证数据的插入、删除、修改的速度。 2,树的相关术语结点:包含一个数据元素及...
[Java][华为云Java编程创造营][学习笔记][技能栈基本要求之数据结构][树][二叉树]
1,什么是树
-

-
日常生活中很多事物都可以用树来描述,例如书的目录,工作单位的组织架构等等。
-
树是计算机中非常重要的一种数据结构,树存储方式可以提高数据存储、读取的效率,比如利用二叉排序树,既可以保证数据的检索速度,同时也可以保证数据的插入、删除、修改的速度。
2,树的相关术语
- 结点:包含一个数据元素及若干指向子树分支的信息
- 结点的度:一个结点拥有子树的数目称为结点的度
- 叶子结点:也称为终端结点,没有子树的结点或者度为零的结点
- 分支结点:也称为非终端结点,度不为零的结点称为非终端结点
- 结点的层次:从根结点开始,根结点的层次为1,根的直接后继层次为2,以此类推
- 树的度:树中所有结点的度的最大值
- 树的深度:树中结点的最大层次
- 树具有以下特点:
- 每个结点有多个或零个子结点
- 没有父结点的结点称为根结点,没有子结点的结点称为叶结点
- 每一个非根结点只有一个父结点
- 每个结点及其后代结点整体上可以看做是一棵树,称为当前结点为根的子树

3,二叉树的基本定义
- 二叉树就是度不超过2的树,其每个结点最多有两个子结点
- 二叉树的结点分为左结点和右结点

满二叉树
- 二叉树的每一层的结点树都达到最大值,则这个二叉树就是满二叉树
- 一颗深度为n的满二叉树,有2^n-1个结点

完全二叉树
- 叶子结点只能出现在最下层和次下层,最后一层的叶子结点在左边连续,倒数第二层的叶子结点在右边连续,我们称为完全二叉树

4,二叉查找树的创建
二叉树的结点类:
class Node<Key, Value>
{
private Key key;//存储键
private Value value;//存储值
private Node left;//左子结点
private Node right;//右子结点
public Node(Key key, Value value, Node left, Node right)
{
this.key = key;
this.value = value;
this.left = left;
this.right = right;
}
}
二叉查找树API设计:
public class BinaryTree<Key, Value>
{
private Node root;//根结点
private int num;//树中元素的个数
public int size()
{
return num;//获取树中元素的个数
}
public void put(Key key, Value value)
{
}//添加元素
public Node put(Node x, Key k, Value v)
{
}//向指定的树x中添加元素并返回新树
public Value get(Key key)
{
}//查询树中指定key对应的value
public Value get(Node x, Key key)
{
}//从指定的树x中,查找key对应的值
public void delete(Key key)
{
}//删除树中key对应的value
//从指定树x中,删除key对应的value,并返回新树
public Node delete(Node x, Key key)
{
}
}
二叉查找树的实现
查找二叉树中最下和最大的键
- 比如二叉树中用来记录某公司员工薪资和员工姓名数据,或者某班级学生们的排名和姓名数据。如何快速找出排名最高和最低的同学数据?
//找出树中最小的键
public key min();
//找出树中,最小键所在的结点
public Node min(Node x);
//找出树中,最大的键
public key max();
//找出树中,最大键所在的结点
public Node max(Node x);
插入put方法的实现思路
-
情况1:当前树中没有任何一个结点,直接将新插入的结点当作根结点
-
情况2:当前树不为空,则从根结点开始
- 如果新结点的key小于当前结点的key,则继续找当前结点的左子结点
- 如果新结点的Key大于当前结点的key,则继续找当前结点的右子结点
- 如果新结点的key等于当前结点的key,则书中已经存在这样的结点,替换该结点的value值即可。

查询get方法实现思路
- 从根结点开始
- 如果要查询的key小于当前结点的key,则继续找当前结点的左子结点
- 如果要查询的key大于当前结点的key,则继续找当前结点的右子结点
- 如果要查询的key等于当前结点的key,则树中返回当前结点的value
删除delete方法实现思路
- 找到被删除结点
- 找到被删除结点右子树中的最小结点minNode
- 删除右子树中的最小结点
- 让被删除结点的左子树成为最小结点minNode的左子树,让被删除结点的右子树成为最小结点minNode的右子树
- 让被删除结点的父结点指向最小结点minNode

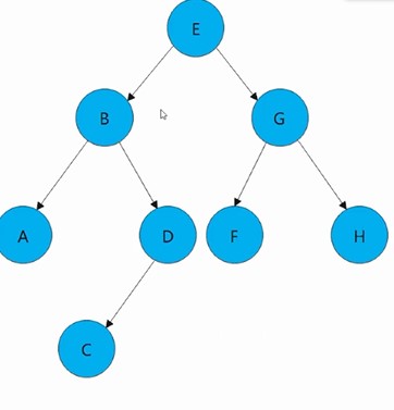
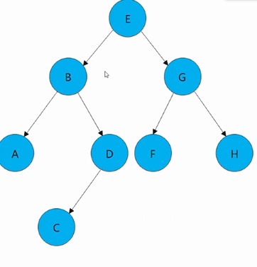
5,二叉树的基础遍历
-

-
前序遍历
- 先访问根结点,再访问左子树,最后访问右子树
- 遍历结果:EBADCGFH
-
中序遍历
- 先访问左子树,再访问根结点,最后访问右子树
- 遍历结果:ABCDEFGH
-
后序遍历
- 先访问左子树,再访问右子树,最后访问根结点
- 遍历结果:ACDBFHGE
【声明】本内容来自华为云开发者社区博主,不代表华为云及华为云开发者社区的观点和立场。转载时必须标注文章的来源(华为云社区)、文章链接、文章作者等基本信息,否则作者和本社区有权追究责任。如果您发现本社区中有涉嫌抄袭的内容,欢迎发送邮件进行举报,并提供相关证据,一经查实,本社区将立刻删除涉嫌侵权内容,举报邮箱:
cloudbbs@huaweicloud.com
- 点赞
- 收藏
- 关注作者









评论(0)