AI数学基础之高等数学——华为AI学习笔记2
【摘要】 1. 函数与极限1.1. 函数的定义:y=f(x),表达了变量间的关系∀x都有唯一确定的y与之对应。x的范围称为定义域y的范围称为值域1.2. 初等函数一个变量会直接影响另一个变量1.3. 复合函数y=g(f(x))1.4. 特殊函数奇偶函数周期函数单调函数1.5. 极限无限靠近但永远无法达到,是一种变化状态的描述1.6. 权限的存在左、右极限分别存在且相等2. 连续性与导数2.1. 函数连...
1. 函数与极限
1.1. 函数的定义:y=f(x),表达了变量间的关系
∀x都有唯一确定的y与之对应。
x的范围称为定义域
y的范围称为值域
1.2. 初等函数
一个变量会直接影响另一个变量
1.3. 复合函数
y=g(f(x))
1.4. 特殊函数
奇偶函数
周期函数
单调函数
1.5. 极限
无限靠近但永远无法达到,是一种变化状态的描述
1.6. 权限的存在
左、右极限分别存在且相等
2. 连续性与导数
2.1. 函数连续性

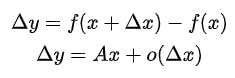
2.2. 导数
切线

2.2.1. 复合函数求导
链式法则

2.2.2. 高阶导数
3. 方向导数与梯度
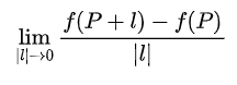
3.1. 方向导数

3.2. 偏导数

3.3. 梯度
方向导数在什么时候达到最大值?
对三元函数

4. 微积分
4.1 微分

4.2 积分
不定积分就是求原函数
定积分类似求面积
牛顿-莱布尼兹公式:

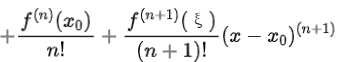
5. 泰勒公式
用多项式函数去逼近一个函数


(更详细的泰勒公式可参见学习笔记|泰勒公式与泰勒展开)
【声明】本内容来自华为云开发者社区博主,不代表华为云及华为云开发者社区的观点和立场。转载时必须标注文章的来源(华为云社区)、文章链接、文章作者等基本信息,否则作者和本社区有权追究责任。如果您发现本社区中有涉嫌抄袭的内容,欢迎发送邮件进行举报,并提供相关证据,一经查实,本社区将立刻删除涉嫌侵权内容,举报邮箱:
cloudbbs@huaweicloud.com
- 点赞
- 收藏
- 关注作者
评论(0)