学习笔记|实对称矩阵正定的等价定义
【摘要】 正定是一个非常重要的概念,除了在正定核中有应用(可参见学习笔记|正定核)、与合同矩阵紧密关联(可参见学习笔记|实对称矩阵正定与合同于E的等价性证明)外,与可逆、特征值等矩阵重要概念也存在紧密的关联,下面来看矩阵的性质7-(前6个性质可参见学习笔记|矩阵正定的基本性质和学习笔记|实对称矩阵正定与合同于E的等价性证明)。证:由于矩阵可逆具有对称性,只需证明必要性。矩阵A对称且正定(可参见学习笔记...
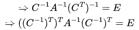
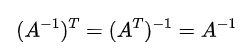
正定是一个非常重要的概念,除了在正定核中有应用(可参见学习笔记|正定核)、与合同矩阵紧密关联(可参见学习笔记|实对称矩阵正定与合同于E的等价性证明)外,与可逆、特征值等矩阵重要概念也存在紧密的关联,下面来看矩阵的性质7-(前6个性质可参见学习笔记|矩阵正定的基本性质和学习笔记|实对称矩阵正定与合同于E的等价性证明)。

证:
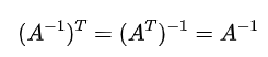
由于矩阵可逆具有对称性,只需证明必要性。
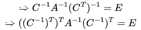
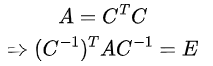
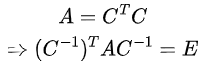
矩阵A对称且正定

即,∃可逆矩阵C,有

(可参见学习笔记|矩阵合同)


同时,



证:
充分性的证明请参见学习笔记|矩阵正定的基本性质的性质3。
必要性的证明请参见学习笔记|实对称矩阵正定与合同于E的等价性证明的必要性证明。

证:
充分性:
A正定



令

则

必要性:

即

⇒A正定
参考文献
1.https://baike.baidu.com/item/%E6%AD%A3%E5%AE%9A%E7%9F%A9%E9%98%B5/11030459?fr=aladdin
https://zhidao.baidu.com/question/1890381703984202268.html
2.https://wenku.baidu.com/view/eb02228300020740be1e650e52ea551810a6c9f2.html
【声明】本内容来自华为云开发者社区博主,不代表华为云及华为云开发者社区的观点和立场。转载时必须标注文章的来源(华为云社区)、文章链接、文章作者等基本信息,否则作者和本社区有权追究责任。如果您发现本社区中有涉嫌抄袭的内容,欢迎发送邮件进行举报,并提供相关证据,一经查实,本社区将立刻删除涉嫌侵权内容,举报邮箱:
cloudbbs@huaweicloud.com
- 点赞
- 收藏
- 关注作者
评论(0)