学习笔记|实对称矩阵正定与合同于E的等价性证明
【摘要】 正定是一个非常重要的概念,除了在正定核中有应用(可参见学习笔记|正定核)外,与合同等许多矩阵重要概念存在紧密的关联,下面来看矩阵的性质6(前5个性质可参见45 学习笔记|矩阵正定的基本性质)。证:必要性:A合同于E⇒∃可逆矩阵C,s.t.(可参见学习笔记|矩阵合同)对有使得那么所以A正定。充分性:先证,对∀对称矩阵A,∃可逆矩阵P,有其中,Λ表示对角矩阵。令有将上式记为同时令令所以,对∀对称...
正定是一个非常重要的概念,除了在正定核中有应用(可参见学习笔记|正定核)外,与合同等许多矩阵重要概念存在紧密的关联,下面来看矩阵的性质6(前5个性质可参见45 学习笔记|矩阵正定的基本性质)。
证:
必要性:
A合同于E
⇒∃可逆矩阵C,s.t.

(可参见学习笔记|矩阵合同)
对

有

使得

那么

所以A正定。
充分性:
先证,对∀对称矩阵A,∃可逆矩阵P,有

其中,Λ表示对角矩阵。


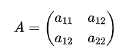
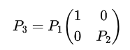
令

有





将上式记为

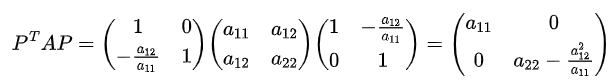
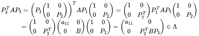
同时令





令



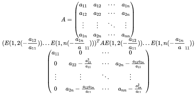
所以,对∀对称矩阵A,∃可逆矩阵P,有



则

取


因此,

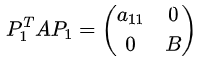
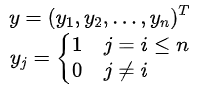
令

则

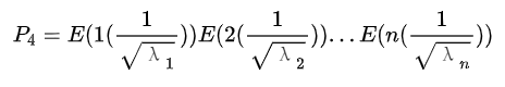
令

则

所以A合同于E。
得证。
参考文献
1.https://baike.baidu.com/item/%E6%AD%A3%E5%AE%9A%E7%9F%A9%E9%98%B5/11030459?fr=aladdin
2.https://zhidao.baidu.com/question/1890381703984202268.html
【声明】本内容来自华为云开发者社区博主,不代表华为云及华为云开发者社区的观点和立场。转载时必须标注文章的来源(华为云社区)、文章链接、文章作者等基本信息,否则作者和本社区有权追究责任。如果您发现本社区中有涉嫌抄袭的内容,欢迎发送邮件进行举报,并提供相关证据,一经查实,本社区将立刻删除涉嫌侵权内容,举报邮箱:
cloudbbs@huaweicloud.com
- 点赞
- 收藏
- 关注作者

评论(0)