学习笔记|矩正正定及其在正定核中的应用
【摘要】 学习笔记|正定核中用到了矩阵正定的性质,今天来看一下矩阵正定的定义与性质。1. 矩阵正定的定义2. 正定矩阵在正定核中的应用其一:(可参见学习笔记|正定核)其二:(可参见学习笔记|正定核)显然Gram矩阵K是半正定矩阵。参考文献1.https://baike.baidu.com/item/%E6%AD%A3%E5%AE%9A%E7%9F%A9%E9%98%B5/11030459?fr=ala...
学习笔记|正定核中用到了矩阵正定的性质,今天来看一下矩阵正定的定义与性质。
1. 矩阵正定的定义

2. 正定矩阵在正定核中的应用
其一:


(可参见学习笔记|正定核)


其二:

(可参见学习笔记|正定核)
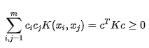
显然

Gram矩阵K是半正定矩阵。
参考文献
1.https://baike.baidu.com/item/%E6%AD%A3%E5%AE%9A%E7%9F%A9%E9%98%B5/11030459?fr=aladdin
【声明】本内容来自华为云开发者社区博主,不代表华为云及华为云开发者社区的观点和立场。转载时必须标注文章的来源(华为云社区)、文章链接、文章作者等基本信息,否则作者和本社区有权追究责任。如果您发现本社区中有涉嫌抄袭的内容,欢迎发送邮件进行举报,并提供相关证据,一经查实,本社区将立刻删除涉嫌侵权内容,举报邮箱:
cloudbbs@huaweicloud.com
- 点赞
- 收藏
- 关注作者
评论(0)