学习笔记|矩阵的特征值
【摘要】 1. 矩阵特征值的定义Ax=λx等价于(λE-A)x=0。它是n个n元一次齐次方程组,它有非零解的充要条件是系数行列式|λE-A|=0。2. 矩阵特征值的性质证:因为是方程f(λ)=|A-λE|=0的解。所以只有分项会形成项,其系数为所以当λ=0时,所以证:得证。证:得证。证:所以与|λE-A|=0有相同的解。参考文献1.https://baike.baidu.com/item/%E7%9F...
1. 矩阵特征值的定义

Ax=λx等价于(λE-A)x=0。它是n个n元一次齐次方程组,它有非零解的充要条件是系数行列式|λE-A|=0。
2. 矩阵特征值的性质

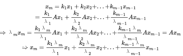
证:
因为
是方程f(λ)=|A-λE|=0的解。
所以
只有分项
会形成
项,其系数为

所以
当λ=0时,
所以

证:
得证。

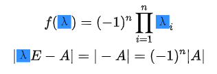
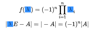
证:

得证。






证:
所以
与|λE-A|=0有相同的解。

参考文献
1.https://baike.baidu.com/item/%E7%9F%A9%E9%98%B5%E7%89%B9%E5%BE%81%E5%80%BC/8309765?fr=aladdin
2.https://jingyan.baidu.com/article/27fa7326afb4c146f8271ff3.html
3.https://zhidao.baidu.com/question/1113296864016885619.html
4.https://www.cnblogs.com/agwyo/p/15154633.html
5.统计学习方法(第2版),李航著,清华大学出版社
【声明】本内容来自华为云开发者社区博主,不代表华为云及华为云开发者社区的观点和立场。转载时必须标注文章的来源(华为云社区)、文章链接、文章作者等基本信息,否则作者和本社区有权追究责任。如果您发现本社区中有涉嫌抄袭的内容,欢迎发送邮件进行举报,并提供相关证据,一经查实,本社区将立刻删除涉嫌侵权内容,举报邮箱:
cloudbbs@huaweicloud.com
- 点赞
- 收藏
- 关注作者
评论(0)