学习笔记|矩阵的行列式
【摘要】 1. 定义对于记其中,i=1,2,...,n当n=2时,2. 矩阵行列式的性质证:当n=2时,当i=1时,当i=2时,当i>2且i<k-1时,所以,有得证。证:对∀i=1,2,...,n,有证:2.4. 若A的某一行全为0,则|A|=0。证: 不妨假设第i行全为0,则得证。2.5. 若A的某两行或某两列相等,则|A|=0。证:先证某两行相等。不失一般性,假设第1行与第2行相等。对于当n=2时...
1. 定义

对于


记



其中,i=1,2,...,n
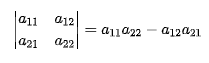
当n=2时,

2. 矩阵行列式的性质

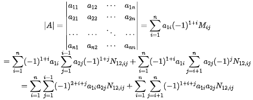
证:

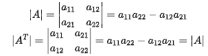
当n=2时,





当i=1时,

当i=2时,

当i>2且i<k-1时,


所以,有

得证。

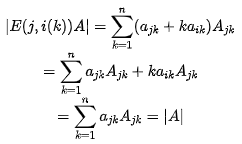
证:

对∀i=1,2,...,n,有



证:


2.4. 若A的某一行全为0,则|A|=0。
证: 不妨假设第i行全为0,则

得证。
2.5. 若A的某两行或某两列相等,则|A|=0。
证:
先证某两行相等。不失一般性,假设第1行与第2行相等。
对于



当n=2时,

当n>0时,





两项相加,有

因此,|A|=0。
同理可得,某两列相等时,|A|=0。
得证。
2.6. |AB|=|A||B|。
证:
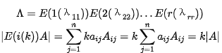
先证|E(j,i(k))A|=|A|

同理可得|AE(j,i(k))|=|A|
不断左乘E(j,i(k))可将A变换为上三角矩阵C,即

不断右乘E(i,j(k))可将C变换为对角矩阵Λ,即

有|A|=|C|=|Λ|
将Λ记为

显然有

所以

参考文献:
1.https://baike.baidu.com/item/%E7%9F%A9%E9%98%B5%E8%A1%8C%E5%88%97%E5%BC%8F/18882017?fr=aladdin
【声明】本内容来自华为云开发者社区博主,不代表华为云及华为云开发者社区的观点和立场。转载时必须标注文章的来源(华为云社区)、文章链接、文章作者等基本信息,否则作者和本社区有权追究责任。如果您发现本社区中有涉嫌抄袭的内容,欢迎发送邮件进行举报,并提供相关证据,一经查实,本社区将立刻删除涉嫌侵权内容,举报邮箱:
cloudbbs@huaweicloud.com
- 点赞
- 收藏
- 关注作者
评论(0)