学习笔记|矩阵秩的性质之二
【摘要】 2. 如果A可逆,则r(AB)=r(BA)=r(B)(可参见学习笔记|矩阵的等价矩阵等价的性质4)即存在有限的初等矩阵有(可参见学习笔记|矩阵的等价矩阵等价的定义)即(可参见学习笔记|矩阵的初等变换的2.3初等矩阵都可逆)因此,有(可参见学习笔记|矩阵秩的性质之一)同理可得r(BA)=r(B)所以r(AB)=r(BA)=r(B)3. r(AB)≤min(r(A),r(B))证:假设令min(...
2. 如果A可逆,则r(AB)=r(BA)=r(B)

(可参见学习笔记|矩阵的等价矩阵等价的性质4)
即存在有限的初等矩阵

有

(可参见学习笔记|矩阵的等价矩阵等价的定义)
即

(可参见学习笔记|矩阵的初等变换的2.3初等矩阵都可逆)
因此,有

(可参见学习笔记|矩阵秩的性质之一)

同理可得r(BA)=r(B)
所以r(AB)=r(BA)=r(B)
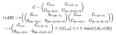
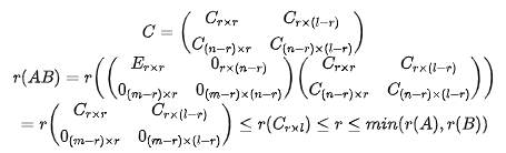
3. r(AB)≤min(r(A),r(B))
证:
假设

令min(r(A),r(B))=r
假设r(A)=r
则r≤min(m,n,l)
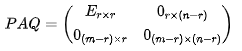
对A进行有限个初等行变换和列变换可以得到

(可参考学习笔记|矩阵的等价矩阵等价的性质4的证明)
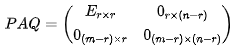
则存在可逆矩阵P和Q,使得

那么

令

显然,有r(C)=r(B)
将C改写成

当r(B)=r时,


证:

(可参见学习笔记|矩阵秩的定义与证明)

证:

(可参见学习笔记|矩阵秩的定义与证明)
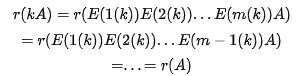
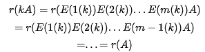
6. 对∀k≠0,r(kA)=r(A)
证:
假设A为m行n列矩阵。

得证。
7. r(A)=0当且仅当A=0
证:
显然,当A=0时,r(A)=0。
当r(A)=0时,A不存在非0行向量,所以A=0。
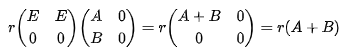
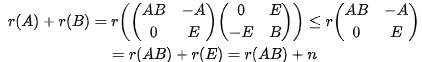
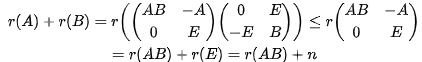
8. r(A+B)≤r(A)+r(B)
证:

所以

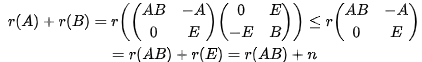
9. r(A)+r(B)-n≤r(AB)
证:

所以

所以r(A)+r(B)-n≤r(AB)
参考文献:
1.https://baike.baidu.com/item/%E7%9F%A9%E9%98%B5%E7%9A%84%E7%A7%A9/6285316?fr=aladdin
【声明】本内容来自华为云开发者社区博主,不代表华为云及华为云开发者社区的观点和立场。转载时必须标注文章的来源(华为云社区)、文章链接、文章作者等基本信息,否则作者和本社区有权追究责任。如果您发现本社区中有涉嫌抄袭的内容,欢迎发送邮件进行举报,并提供相关证据,一经查实,本社区将立刻删除涉嫌侵权内容,举报邮箱:
cloudbbs@huaweicloud.com
- 点赞
- 收藏
- 关注作者
评论(0)