学习笔记|矩阵秩的性质之一
1. 矩阵的初等变换不改变矩阵的秩
证:
初等变换包括初等行变换和初等列变换,因为矩阵的行秩=列秩=秩,行变换与列变换对矩阵秩的影响是一样的,因此只证初等行变换不改变矩阵的秩。
矩阵的初等行变换包括左乘E(i,j),左乘E(i(k)),左乘E(j,i(k))三种。
(参见学习笔记|矩阵的初等变换)
左乘E(i,j)即交换第i行与第j行,矩阵的行向量组的秩与行向量的顺序无关,所以左乘E(i,j)不改变矩阵的行秩,即不改变矩阵的秩。
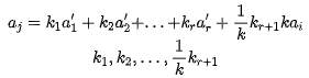
左乘E(i(k))即为第i行乘以k。假设



不全为0,有

不全为0。同时对于

没有非0解,则

没有非0解。所以

为E(i(k))A的极大无关组,E(i(k))A的秩=r+1=A的秩。


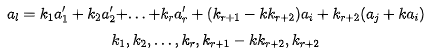
有

不全为0,则



线性表出。也就是说,

也是E(i(k))A的极大无关组,E(i(k))A的秩=r=A的秩。
∴r(E(i(k))A)=r(A)
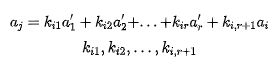
左乘E(j,i(k))即为第i行乘以k加到第j行。不仿假设j>i,则


不全为0,有

不全为0。同时,

没有非0解,可得

没有非0解。所以

为E(j,i(k))A的极大无关组,E(j,i(k))A秩=r+2=A的秩。


不全为0。




不全为0。同时,

没有非0解可得

系数没有非0解,所以

为E(j,i(k))A的极大无关组,E(j,i(k))A秩=r+1=A的秩。


不全为0,同样可推导出

为E(j,i(k))A的极大无关组,E(j,i(k))A秩=r+1=A的秩。


不全为0。则

该初等变换改变矩阵A的秩,即,E(j,i(k))A秩=r+1=A的秩。


有

可见该初等变换不改变矩阵A的秩。
综上可得,矩阵的初等变换不改变矩阵的秩。
参考文献:
1.https://baike.baidu.com/item/%E7%9F%A9%E9%98%B5%E7%9A%84%E7%A7%A9/6285316?fr=aladdin
- 点赞
- 收藏
- 关注作者
评论(0)