学习笔记|矩阵的等价
【摘要】 1. 矩阵等价的定义2. 矩阵等价的性质∵初等矩阵都是可逆矩阵,且其逆矩阵仍然是初等矩阵,可参见35 学习笔记|矩阵的初等变换因此,有证: 当n=2时,当n=r时,显然,有充分性:必要性:参考文献1.https://zhuanlan.zhihu.com/p/1080978342.https://baike.baidu.com/item/%E7%AD%89%E4%BB%B7%E7%9F%A9%...
1. 矩阵等价的定义

2. 矩阵等价的性质



∵初等矩阵都是可逆矩阵,且其逆矩阵仍然是初等矩阵,可参见35 学习笔记|矩阵的初等变换



因此,有


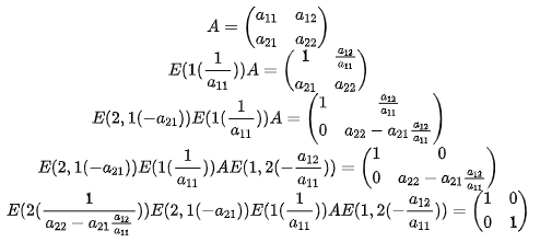
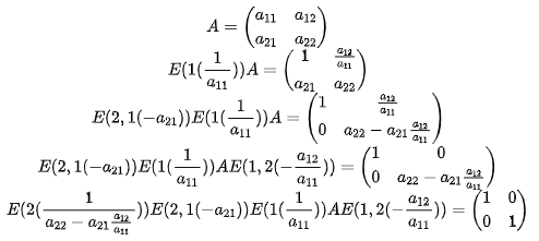
证: 当n=2时,


当n=r时,




显然,有




充分性:




必要性:






参考文献
1.https://zhuanlan.zhihu.com/p/108097834
2.https://baike.baidu.com/item/%E7%AD%89%E4%BB%B7%E7%9F%A9%E9%98%B5/6529791?fr=aladdin
3.https://www.zhihu.com/question/387942422
【声明】本内容来自华为云开发者社区博主,不代表华为云及华为云开发者社区的观点和立场。转载时必须标注文章的来源(华为云社区)、文章链接、文章作者等基本信息,否则作者和本社区有权追究责任。如果您发现本社区中有涉嫌抄袭的内容,欢迎发送邮件进行举报,并提供相关证据,一经查实,本社区将立刻删除涉嫌侵权内容,举报邮箱:
cloudbbs@huaweicloud.com
- 点赞
- 收藏
- 关注作者
评论(0)