学习笔记|矩阵的初等变换
【摘要】 1. 矩阵初等变换的定义1.1. 初等行变换1.1.1. 交换两行注意,i,j也可以是1,2或m,i也可以大于j。1.1.2. 某一行乘以k(k≠0)注意,i也可以是1,2或m。1.1.3. 某一行乘以k(k≠0)加到另一行注意,i,j也可以是1,2或m,i也可以大于j。1.2. 初等列变换1.2.1. 交换两列注意,i,j也可以是1,2或n,i也可以大于j。1.2.2. 某一列乘以k(k≠...
1. 矩阵初等变换的定义
1.1. 初等行变换
1.1.1. 交换两行

注意,i,j也可以是1,2或m,i也可以大于j。
1.1.2. 某一行乘以k(k≠0)

注意,i也可以是1,2或m。
1.1.3. 某一行乘以k(k≠0)加到另一行

注意,i,j也可以是1,2或m,i也可以大于j。
1.2. 初等列变换
1.2.1. 交换两列

注意,i,j也可以是1,2或n,i也可以大于j。
1.2.2. 某一列乘以k(k≠0)

注意,i也可以是1,2或n。
1.2.3. 某一列乘以k(k≠0)加到另一列

注意,i,j也可以是1,2或n,i也可以大于j。
2. 初等矩阵与初等变换
2.1. 初等矩阵的定义
由单位矩阵E经过一次初等变换得到的矩阵称为初等矩阵。
前两种初等行变换与初等列变换具有相同的效果,而第三种初等行变换与初等列变换的效果不同。
2.1.1. 交换两行与交换两列

列出数字的分别为1,i,j,m行1,i,j,n列。
这一类初等矩阵记为E(i,j)。
2.1.2. i行乘以k与i列乘以k(k≠0)

列出数字的分别为1,i,m行1,i,n列。
这一类初等矩阵记为E(i(k))。
2.1.3. i行乘以k加到j行与i列乘以k加到j列(k≠0)

列出数字的分别为1,i,j,m行1,i,j,n列。
这一类行初等矩阵记为E(j,i(k)),列初等矩阵记为E(i,j(k))。

2.2.1. 交换两行

2.2.2. 某一行乘以k(k≠0)

2.2.3. 某一行乘以k(k≠0)加到另一行

2.2.4. 交换两列

2.2.5. 某一列乘以k(k≠0)

2.2.6. 某一列乘以k(k≠0)加到另一列

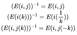
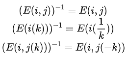
2.3. 初等矩阵都是可逆矩阵
显然

参考文献
1.https://zhuanlan.zhihu.com/p/108097834
2.https://wenku.baidu.com/view/fbb11188854769eae009581b6bd97f192279bfb6.html
https://www.cnblogs.com/us-wjz/articles/11135357.html
【声明】本内容来自华为云开发者社区博主,不代表华为云及华为云开发者社区的观点和立场。转载时必须标注文章的来源(华为云社区)、文章链接、文章作者等基本信息,否则作者和本社区有权追究责任。如果您发现本社区中有涉嫌抄袭的内容,欢迎发送邮件进行举报,并提供相关证据,一经查实,本社区将立刻删除涉嫌侵权内容,举报邮箱:
cloudbbs@huaweicloud.com
- 点赞
- 收藏
- 关注作者
评论(0)