学习笔记|Gram矩阵
【摘要】 Gram函数在感知机、线性可分支持向量机、线性支持向量机、正定核等笔记中均有涉及,可参见学习笔记|感知机(二)、学习笔记|感知机的实现、学习笔记|线性可分支持向量机学习的对偶算法、学习笔记|线性支持向量机学习的对偶算法和学习笔记|正定核。1. Gram矩阵的定义令则2. Gram矩阵的应用2.1. 感知机中的Gram矩阵(可参见学习笔记|感知机(二))将步骤(3)展开可得:列出步骤(3)的所...
Gram函数在感知机、线性可分支持向量机、线性支持向量机、正定核等笔记中均有涉及,可参见学习笔记|感知机(二)、学习笔记|感知机的实现、学习笔记|线性可分支持向量机学习的对偶算法、学习笔记|线性支持向量机学习的对偶算法和学习笔记|正定核。
1. Gram矩阵的定义



令

则

2. Gram矩阵的应用
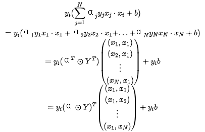
2.1. 感知机中的Gram矩阵

(可参见学习笔记|感知机(二))
将步骤(3)展开可得:

列出步骤(3)的所有不等式即为
(学习笔记|感知机的实现中的Gram矩阵的推导存在问题,以这里的Gram矩阵推导为准)
2.2. 支持向量机的中Gram矩阵
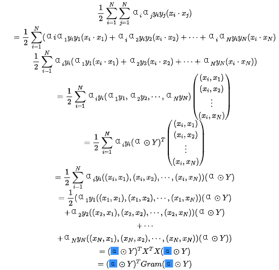
2.2.1. 支持向量机学习中的Gram矩阵
先看线性可分支持向量机

步骤(1)的目标函数为

其左式为
线性支持向量机中的Gram矩阵在形式上与线性可分支持向量机中的Gram矩阵是完全一致的,可参见学习笔记|线性支持向量机学习的对偶算法。
2.2.2. 正定核中的Gram矩阵
先看

(可参见学习笔记|正定核)
结合定理可知,这里

的Gram矩阵。
再看


结合线性可分支持向量机中Gram矩阵的推导过程,易知
其中

参考文献
1.统计学习方法(第2版),李航著,清华大学出版社
【声明】本内容来自华为云开发者社区博主,不代表华为云及华为云开发者社区的观点和立场。转载时必须标注文章的来源(华为云社区)、文章链接、文章作者等基本信息,否则作者和本社区有权追究责任。如果您发现本社区中有涉嫌抄袭的内容,欢迎发送邮件进行举报,并提供相关证据,一经查实,本社区将立刻删除涉嫌侵权内容,举报邮箱:
cloudbbs@huaweicloud.com
- 点赞
- 收藏
- 关注作者
评论(0)