学习笔记|EM算法在高斯混合模型学习中的应用
【摘要】 EM算法的一个重要应用是高斯混合模型的参数估计。高斯混合模型应用广泛,在许多情况下,EM算法是学习高斯混合模型的有效方法。1. 高斯混合模型高斯混合模型定义: 高斯混合模型是指具有如下形式的概率分布模型:称为第k个分模型。一般混合模型可以由任意概率分布密度代替高斯分布密度。2. 高斯混合模型参数估计的EM算法明确隐变量,写出完全数据的对数似然函数j=1,2,...,N; k=1,2,...,...
EM算法的一个重要应用是高斯混合模型的参数估计。高斯混合模型应用广泛,在许多情况下,EM算法是学习高斯混合模型的有效方法。
1. 高斯混合模型
高斯混合模型定义: 高斯混合模型是指具有如下形式的概率分布模型:


称为第k个分模型。
一般混合模型可以由任意概率分布密度代替高斯分布密度。
2. 高斯混合模型参数估计的EM算法


-
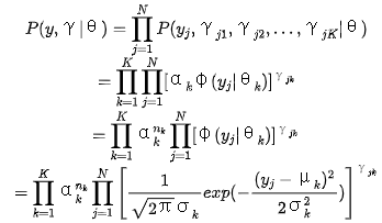
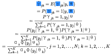
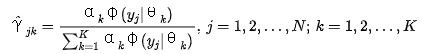
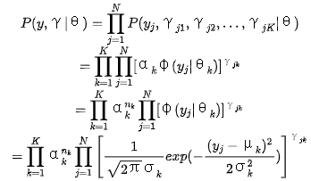
明确隐变量,写出完全数据的对数似然函数

j=1,2,...,N; k=1,2,...,K



于是,可以写出完全数据的似然函数:


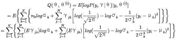
那么,完全数据的对数似然函数为


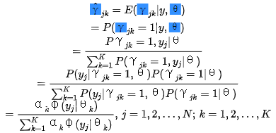
因此,

-
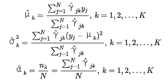
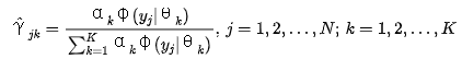
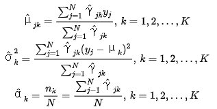
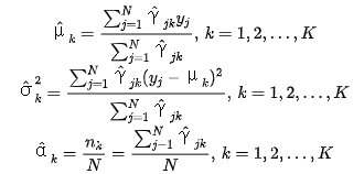
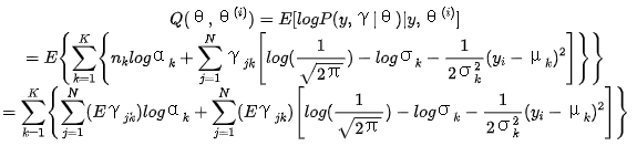
确定EM算法的M步




重复以上计算,直到对数似然函数值不再有明显的变化为止。
现将估计高斯混合模型参数的EM算法总结如下。
高斯混合模型参数估计的EM算法:

输出:高斯混合模型参数。
(1)取参数的初始值开始迭代;


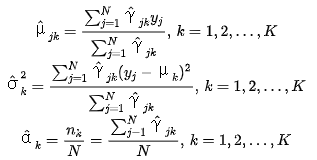
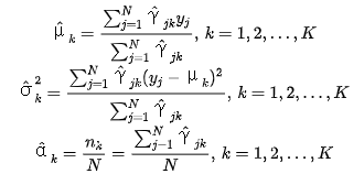
(3)M步:计算新一轮迭代的模型参数

(4)重复第(2)步和第(3)步,直到收敛。
参考文献
1.统计学习方法(第2版),李航著,清华大学出版社
【版权声明】本文为华为云社区用户转载文章,如果您发现本社区中有涉嫌抄袭的内容,欢迎发送邮件进行举报,并提供相关证据,一经查实,本社区将立刻删除涉嫌侵权内容,举报邮箱:
cloudbbs@huaweicloud.com
- 点赞
- 收藏
- 关注作者
评论(0)