学习笔记|EM算法的收敛性
【摘要】 EM算法提供一种近似计算含有隐变量概率模型的极大似然估计的方法。EM算法的最大优点是简单性和普适性。我们很自然地要问:EM算法得到的估计序列是否收敛?如果收敛,是否收敛到全局最大值或局部极大值?下面给出关于EM算法收敛性的两个定理。证明: 由于取对数有(可参见学习笔记|EM算法介绍及EM算法的导出及其在无监督学习中的应用)令于是对数似然函数可以写成这里的不等号由Jensen不等式得到。由此可...
EM算法提供一种近似计算含有隐变量概率模型的极大似然估计的方法。EM算法的最大优点是简单性和普适性。我们很自然地要问:EM算法得到的估计序列是否收敛?如果收敛,是否收敛到全局最大值或局部极大值?下面给出关于EM算法收敛性的两个定理。

证明: 由于
取对数有

(可参见学习笔记|EM算法介绍及EM算法的导出及其在无监督学习中的应用)
令

于是对数似然函数可以写成




这里的不等号由Jensen不等式得到。
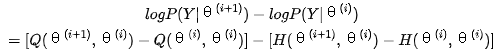
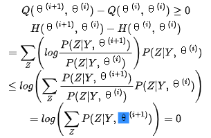
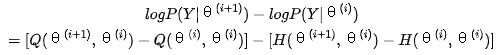
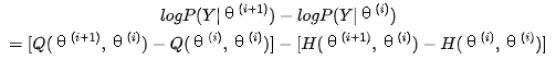
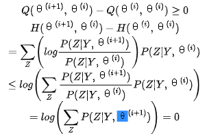
由此可知




参考文献
1.统计学习方法(第2版),李航著,清华大学出版社
【版权声明】本文为华为云社区用户转载文章,如果您发现本社区中有涉嫌抄袭的内容,欢迎发送邮件进行举报,并提供相关证据,一经查实,本社区将立刻删除涉嫌侵权内容,举报邮箱:
cloudbbs@huaweicloud.com
- 点赞
- 收藏
- 关注作者
评论(0)