学习笔记|梯度提升
【摘要】 提升树利用加法模型与前向分步算法实现学习的优化过程(提升树和前向分步算法可分别参见学习笔记|AdaBoost的扩展之二——提升树和学习笔记|AdaBoost的扩展之一——前向分步算法)。当损失函数是平方损失和指数损失函数时,每一步优化是简单的。但对一般损失函数而言,往往每一步优化并不那么容易。针对这一问题,Freidman提出了梯度提升算法。这是利用最速下降法的近似方法,其关键是利用损失函数...
提升树利用加法模型与前向分步算法实现学习的优化过程(提升树和前向分步算法可分别参见学习笔记|AdaBoost的扩展之二——提升树和学习笔记|AdaBoost的扩展之一——前向分步算法)。当损失函数是平方损失和指数损失函数时,每一步优化是简单的。但对一般损失函数而言,往往每一步优化并不那么容易。针对这一问题,Freidman提出了梯度提升算法。这是利用最速下降法的近似方法,其关键是利用损失函数的负梯度在当前模型的值

作为回归问题提升树算法中的残差的近似值,拟合一个回归树。
梯度提升算法:


(1)初始化

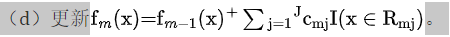
(2)对m=1,2,...,M
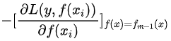
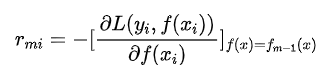
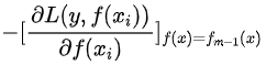
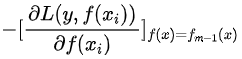
(a)对i=1,2,...,N,计算


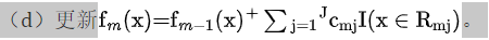
(c)对j=1,2,...,J,计算


(3)得到回归树


参考文献
1.统计学习方法(第2版),李航著,清华大学出版社
【版权声明】本文为华为云社区用户转载文章,如果您发现本社区中有涉嫌抄袭的内容,欢迎发送邮件进行举报,并提供相关证据,一经查实,本社区将立刻删除涉嫌侵权内容,举报邮箱:
cloudbbs@huaweicloud.com
- 点赞
- 收藏
- 关注作者
评论(0)