学习笔记|回归问题提升树算法的一个例子
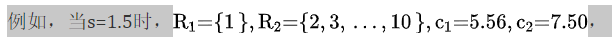
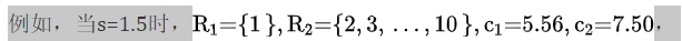
【摘要】 例: 已知如下表所求的训练数据,x的取值范围为区间[0.5,10.5],y的取值范围为区间[5.0,10.0],学习这个回归问题的提升树模型,考虑只用树桩作为基函数。123455.565.705.916.406.806789107.058.908.709.009.05首先通过以下优化问题:求解训练数据的切分点s:求训练数据的切分点。根据所给数据,考虑如下切分点:现将s及m(s)的计算结果列表...
例: 已知如下表所求的训练数据,x的取值范围为区间[0.5,10.5],y的取值范围为区间[5.0,10.0],学习这个回归问题的提升树模型,考虑只用树桩作为基函数。
| 1 | 2 | 3 | 4 | 5 | |
|---|---|---|---|---|---|
| 5.56 | 5.70 | 5.91 | 6.40 | 6.80 | |
| 6 | 7 | 8 | 9 | 10 | |
| 7.05 | 8.90 | 8.70 | 9.00 | 9.05 |

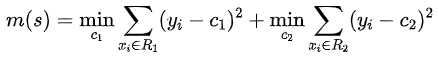
首先通过以下优化问题:

求解训练数据的切分点s:




求训练数据的切分点。根据所给数据,考虑如下切分点:





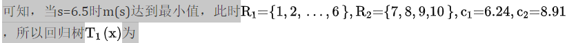
现将s及m(s)的计算结果列表如下
| s | 1.5 | 2.5 | 3.5 | 4.5 | 5.5 | 6.5 | 7.5 | 8.5 | 9.5 |
|---|---|---|---|---|---|---|---|---|---|
| m(s) | 15.72 | 12.07 | 8.36 | 5.78 | 3.91 | 1.93 | 8.01 | 11.73 | 15.74 |



| 1 | 2 | 3 | 4 | 5 | |
|---|---|---|---|---|---|
| -0.68 | -0.54 | -0.33 | 0.16 | 0.56 | |
| 6 | 7 | 8 | 9 | 10 | |
| 0.81 | -0.01 | -0.21 | 0.09 | 0.14 |






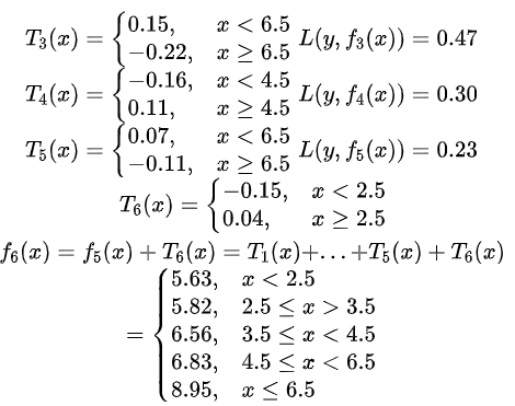
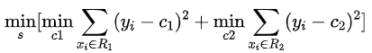
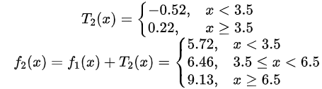
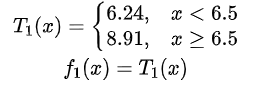
继续求得




参考文献
1.统计学习方法(第2版),李航著,清华大学出版社
【版权声明】本文为华为云社区用户转载文章,如果您发现本社区中有涉嫌抄袭的内容,欢迎发送邮件进行举报,并提供相关证据,一经查实,本社区将立刻删除涉嫌侵权内容,举报邮箱:
cloudbbs@huaweicloud.com
- 点赞
- 收藏
- 关注作者
评论(0)