学习笔记|前向分步算法与AdaBoost
【摘要】 定理: AdaBoost算法是前向分步加法算法的特例。这时,模型是由基本分类器组成的加法模型,损失函数是指数函数。证明: 前向分步算法学习的是加法模型,当基函数为基本分类器时,该加法模型等价于AdaBoost的最终分类器时,其学习的具体操作等价于AdaBoost算法学习的具体操作。等价于(可参见学习笔记|AdaBoost的扩展之一——前向分步算法)对α求导并使导数为0得到(可参见学习笔记|A...
定理: AdaBoost算法是前向分步加法算法的特例。这时,模型是由基本分类器组成的加法模型,损失函数是指数函数。
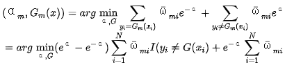
证明: 前向分步算法学习的是加法模型,当基函数为基本分类器时,该加法模型等价于AdaBoost的最终分类器


时,其学习的具体操作等价于AdaBoost算法学习的具体操作。



等价于







(可参见学习笔记|AdaBoost的扩展之一——前向分步算法)


对α求导并使导数为0得到



(可参见学习笔记|AdaBoost的扩展之一——前向分步算法)
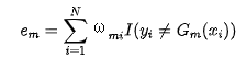
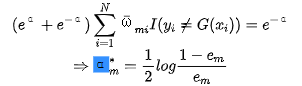
最后看每一轮样本权值的更新。由

以及
可得

这与AdaBoost算法的样本权值更新只相关规范化因子,因而等价。
参考文献
1.统计学习方法(第2版),李航著,清华大学出版社
【版权声明】本文为华为云社区用户转载文章,如果您发现本社区中有涉嫌抄袭的内容,欢迎发送邮件进行举报,并提供相关证据,一经查实,本社区将立刻删除涉嫌侵权内容,举报邮箱:
cloudbbs@huaweicloud.com
- 点赞
- 收藏
- 关注作者
评论(0)