学习笔记|AdaBoost算法的训练误差分析
【摘要】 AdaBoost最基本的性质是它能在学习过程中不断减少训练误差,即在训练数据集上的分类误差率。AdaBoost的训练误差界定理: AdaBoost算法最终分类器的训练误差界为这里因为所以二类分类问题AdaBoost的训练误差界定理:证明:因为所以至于不等式这表明在此条件下AdaBoost的训练误差是以指数速率下降的。这一性质当然是很有吸引力的。注意,AdaBoost算法不需要知道下界γ,这下...
AdaBoost最基本的性质是它能在学习过程中不断减少训练误差,即在训练数据集上的分类误差率。
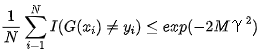
AdaBoost的训练误差界定理: AdaBoost算法最终分类器的训练误差界为

这里

因为

所以


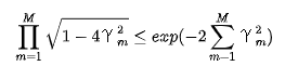
二类分类问题AdaBoost的训练误差界定理:

证明:
因为
所以
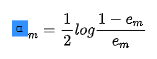
至于不等式




这表明在此条件下AdaBoost的训练误差是以指数速率下降的。这一性质当然是很有吸引力的。
注意,AdaBoost算法不需要知道下界γ,这下是Freund与Schapire设计时所考虑的。与一些早期的提升方法不同,AdaBoost具有适应性,即它能适应弱分类器各自的训练误差率。这也是它的名称(适应的提升)的由来,Ada是Adaptive的简写。
参考文献
1.统计学习方法(第2版),李航著,清华大学出版社
【版权声明】本文为华为云社区用户转载文章,如果您发现本社区中有涉嫌抄袭的内容,欢迎发送邮件进行举报,并提供相关证据,一经查实,本社区将立刻删除涉嫌侵权内容,举报邮箱:
cloudbbs@huaweicloud.com
- 点赞
- 收藏
- 关注作者
评论(0)