昇腾金种子FAE课程学习总结week1
-
Atlas加速卡产品
Atlas全系列硬件产品型号如下:
• Atlas 200 DK 开发者套件(型号:3000)
• Atlas 200 AI加速模块(型号:3000)
• Atlas 300I 推理卡(型号:3000/3010)
• Atlas 300T 训练卡(型号:9000)
• Atlas 500 智能小站(型号:3000)
• Atlas 500 Pro 智能边缘服务器 (型号:3000)
• Atlas 800 推理服务器 (型号:3000)
• Atlas 800 推理服务器 (型号:3010)
• Atlas 800 训练服务器(型号:9000)
• Atlas 800 训练服务器 (型号:9010)
• Atlas 900 PoD(型号:9000)
服务器常用Atlas 300I 推理卡(型号:3000/3010)和Atlas 300T 训练卡(型号:9000)这两种,其他不多赘述。
Atlas 300T 训练卡(型号:9000):




Atlas 300I 推理卡(型号:3000):




Atlas 300I 推理卡(型号:3010):
3000和3010外观基本一致,靠标签、BIOS/BMC/OS信息加以区分
3000一般被用于Arm平台,3010用于X86平台。
3010和3000硬件架构略有不同,多了Pcie Switch对进行芯片和服务器PCIE lane进行转接。功耗有所差别,性能基本一致。



昇腾推理产品芯片架构:




-
昇腾AI全栈解决方案
行业应用:智巡、智造、智行、智城、电力、金融、超算、安防....

Atlas系列产品:提供AI训练、推理卡及训练服务器。
CANN(异构计算架构):芯片使能、驱动层。
MindSpore(AI框架):全场景AI框架。
MindX SDK(昇腾SDK):行业SDK和应用解决方案。
ModelArts(AI开发平台):华为云AI开发平台。
MindStudio(全流程开发工具链):AI全流程开发IDE。
• 业界常见AI框架
Tensorflow v1 --> Tensorflow v2
谷歌开发的,基于数据流编程的机器学习系统。V1不支持动态图,且需要创建Session会话机制,V2加以改进。
Pytorch
一个针对深度学习,使用AI加速卡来优化的张量库,由Torch7团队开发,以Python优先的深度学习框架,能够实现强大的加速功能,支持动态神经网络。
Onnx
一种针对机器学习所设计的开放式的文件格式,用于存储训练好的模型。它使得不同的人工智能框架可以采用相同格式存储模型数据并交互,即能够使模型在不同框架之间进行转移。
Caffe
一个兼具表达性、速度和思维模块化的深度学习框架。由伯克利人工智能研究小组和伯克利视觉和学习中心开发。Caffe支持多种类型的深度学习架构,面向图像分类和图像分割,还支持CNN、RCNN、LSTM和全连接神经网络设计。Caffe支持基于GPU和CPU的加速计算内核库,如NVIDIA cuDNN和Intel MKL。
MindSpore
MindSpore是端边云全场景按需协同的华为自研AI计算框架,提供全场景统一API,为全场景AI的模型开发、模型运行、模型部署提供端到端能力。
TensorRT
TensorRT是一个高性能的深度学习推理(Inference)优化器,可以为深度学习应用提供低延迟、高吞吐率的部署推理。TensorRT可用于对超大规模数据中心、嵌入式平台或自动驾驶平台进行推理加速。TensorRT现已能支持TensorFlow、Caffe、Mxnet、Pytorch等几乎所有的深度学习框架,能在几乎所有的框架中进行快速和高效的部署推理。
-
AI训练模型常见分支及实现方式
- 机器学习
机器学习--深度学习关系图


机器学习主要解决三类问题:
分类---监督学习:解决问题类型如字面意思
回归---监督学习:通过函数表达样本映射的关系来发现属性值的依赖问题
监督学习有标签
聚类--无监督学习:将数据集分为N个类别,通过内在相似性寻找同类
无监督学习无标签
好的数据VS坏的数据
大量数据经过提取,需要数据清洗,排除掉无意义的数据,填补“脏”数据,进行格式转换和特征提取后,才算是“好”的数据。
好的模型VS坏的模型
具有泛化能力,数据集样本喂进模型误差小,可塑性强,预测速率高,无过拟合、欠拟合现象,或影响非常小的模型,是好模型。




训练方法--梯度下降法

每次选取1个样本,训练速度过慢;选择样本数过大,会引起震荡,反向位移的问题,因此要选合适的样本数。迭代时有可能找的全局最低点,而是局部最低点。


超参由人工设定。

这些机器学习算法均有相关数学函数进行计算表达,内容比较多。遇到实际问题再去找相关方向进行参考即可。
2 深度学习
相比机器学习,深度学习网络结构更深,计算的数据量更大,特征可解释性弱。
训练法则:
梯度下降:

梯度下降原理同机器学习。
反向传播:




激活函数:神经网络用于学习、理解复杂和非线性的函数。仅使用线性函数,则网络复杂度有限。
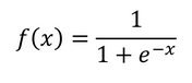
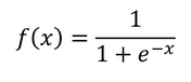
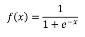
Sigmoid函数:
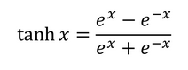
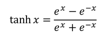
tanh函数:
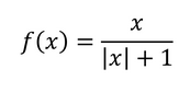
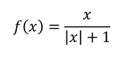
Softsign函数:
ReLU函数:
Softplus函数:
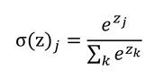
Softmax函数:
正则化---减少模型的泛化误差,防止模型过拟合:



优化器---对传统梯度下降算法进行包装优化:

常见神经网络类型:
a. 卷积神经网络

前馈神经网络,相应一部分覆盖范围内的周围单元。包括卷积层、池化层、全连接层。



b. 循环神经网络

c. 长短记忆性网络


d. 生成对抗网络




常见问题:
数据不平衡:数据集中各类别数据样本数差异过大
梯度消失、态度爆炸:

过拟合、欠拟合
3 计算机视觉--CV
计算机视觉是AI的一个方向,主要是解决图像、视频等相关领域的问题,另外一个大方向是NLP。

计算机对图像的识别,是识别像素级别的每一点的灰度值,(彩图为RGB三维向量的值)。
计算机视觉难点:
人类存在视觉偏差、视觉欺骗、会对图片赋予意义,计算机不理解这些东西,且欠缺常识。
计算机视觉三大基本原则:
局部性
结构化
几何性
• 训练&推理流程
训练:运用上述方式,根据数学原理分析具体情境问题,构建神经网络。构建过程中,通过对大量数据集的训练,针对训练结果调整神经网络的各项指标和参数,或修改神经网络,导出最优结构。
推理:训练好的模型进行模型格式转换(昇腾是ATC转换),用ACL语言进行推理空间的创建封装后,使用推理数据集进行推理验证,精度或性能出现问题时,通过算子重排、ACL参数重新选择、ATC参数重构等进行优化。推理性能依赖于训练性能。
文中图片来自于华为云学院相关课程
- 点赞
- 收藏
- 关注作者
评论(0)