学习笔记|AdaBoost算法
【摘要】 假设给定一个二类分类的训练数据集AdaBoost算法:输出:最终分类器G(x)。(1)初始化训练数据的权值分布(2)对m=1,2,...,M这里的对数是自然对数。(d)更新训练数据集的权值分布(3)构建基本分类器的线性组合得到最终分类器对AdaBoost算法作如下说明:步骤(2) AdaBoost反复学习基本分类器,在每一轮m=1,2,...,M顺次地执行下列操作:(d)更新训练数据的权值分...
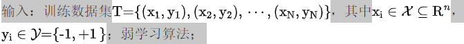
假设给定一个二类分类的训练数据集


AdaBoost算法:

输出:最终分类器G(x)。
(1)初始化训练数据的权值分布

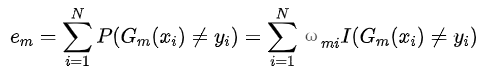
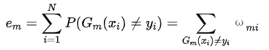
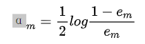
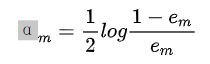
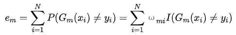
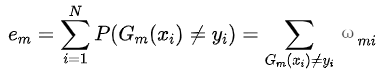
(2)对m=1,2,...,M





这里的对数是自然对数。
(d)更新训练数据集的权值分布




(3)构建基本分类器的线性组合
得到最终分类器

对AdaBoost算法作如下说明:

步骤(2) AdaBoost反复学习基本分类器,在每一轮m=1,2,...,M顺次地执行下列操作:





(d)更新训练数据的权值分布为下一轮作准备。

等价于



参考文献
1.统计学习方法(第2版),李航著,清华大学出版社
【版权声明】本文为华为云社区用户转载文章,如果您发现本社区中有涉嫌抄袭的内容,欢迎发送邮件进行举报,并提供相关证据,一经查实,本社区将立刻删除涉嫌侵权内容,举报邮箱:
cloudbbs@huaweicloud.com
- 点赞
- 收藏
- 关注作者
评论(0)