学习笔记|常用核函数
【摘要】 1. 多项式核函数对应的支持向量机是一个p次多项式分类器。在此情形下,分类决策函数成为2. 高斯核函数对应的支持向量机是高斯径向基函数分类器。在此情形下,分类决策函数成为3. 字符串核函数核函数不仅可以定义在欧氏空间上,还可以定义在离散数据的集合上。比如,字符串核函数是定义在字符串集合上的核函数。字符串核函数在文本分类、信息检索、生物信息学等方面都有应用。这里,0<λ≤1是一个衰减参数,l(...
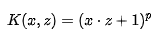
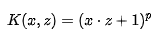
对应的支持向量机是一个p次多项式分类器。在此情形下,分类决策函数成为

对应的支持向量机是高斯径向基函数分类器。在此情形下,分类决策函数成为

核函数不仅可以定义在欧氏空间上,还可以定义在离散数据的集合上。比如,字符串核函数是定义在字符串集合上的核函数。字符串核函数在文本分类、信息检索、生物信息学等方面都有应用。



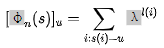
这里,0<λ≤1是一个衰减参数,l(i)表示字符串i的长度,求和在s中所有与u相同的子串上进行。




参考文献
1.统计学习方法(第2版),李航著,清华大学出版社
【版权声明】本文为华为云社区用户转载文章,如果您发现本社区中有涉嫌抄袭的内容,欢迎发送邮件进行举报,并提供相关证据,一经查实,本社区将立刻删除涉嫌侵权内容,举报邮箱:
cloudbbs@huaweicloud.com
- 点赞
- 收藏
- 关注作者
评论(0)