学习笔记|正定核
【摘要】 已知映射函数Φ,可以通过Φ(x)和Φ(z)的内积求得核函数K(x,z)。不用构造映射Φ(x)能否直接判断一个给定的函数k(x,z)是不是核函数?或者说,函数k(x,z)满足什么条件才能成为核函数?本节叙述正定核的充要条件。通常所说的核函数就是正定核函数。为证明此定理先介绍有关的预备知识。先定义映射(内积空间的定义可参见学习笔记|希尔伯特空间)定义运算*(3)f*g=g*f证明:(1)(2)(...
已知映射函数Φ,可以通过Φ(x)和Φ(z)的内积求得核函数K(x,z)。不用构造映射Φ(x)能否直接判断一个给定的函数k(x,z)是不是核函数?或者说,函数k(x,z)满足什么条件才能成为核函数?
本节叙述正定核的充要条件。通常所说的核函数就是正定核函数。为证明此定理先介绍有关的预备知识。


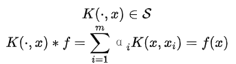
先定义映射




(内积空间的定义可参见学习笔记|希尔伯特空间)

定义运算*


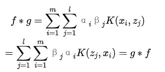
(3)f*g=g*f

证明:
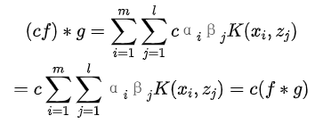
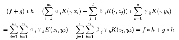
(1)

(2)

(3)

(4)

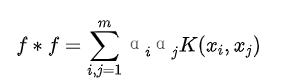
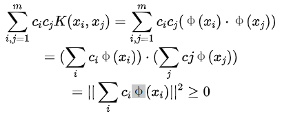
因为Gram矩阵半正定,所以右端非负,即f*f≥0。
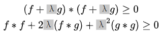
f=0⇒f*f=0是显然的。
现证f*f=0⇒f=0。

其左端是λ的二次三项式,非负,其判别式小于等于0,即

因此



于是


证毕


则







及

称为再生核。
4. 正定核的充要条件


是半正定矩阵。






则
K(⋅,x)⋅f=f(x)
K(⋅,x)⋅K(⋅,z)=K(x,z)
⇒K(x,z)=Φ(x)⋅Φ(z)

定理给出了正定核的充要条件,因此可以作为正定核,即核函数的另一定义。


是半正定矩阵,则称K(x,z)是正定核。

参考文献
1.统计学习方法(第2版),李航著,清华大学出版社
【版权声明】本文为华为云社区用户转载文章,如果您发现本社区中有涉嫌抄袭的内容,欢迎发送邮件进行举报,并提供相关证据,一经查实,本社区将立刻删除涉嫌侵权内容,举报邮箱:
cloudbbs@huaweicloud.com
- 点赞
- 收藏
- 关注作者
评论(0)