学习笔记|核技巧
【摘要】 1. 非线性分类问题非线性分类问题是指通过利用非线性模型才能很好地进行分类的问题。先看一个例子:左图是一个分类问题,图中“·”表示正实例点,“x”表示负实例点。由图可见,无法用直线(线性模型)将正负实例正确分开,但可以用一条椭圆曲线(非线性模型)将它们正确分开。非线性问题往往不好求解,所以希望能用解线性分类问题的方法解决这个问题。所采取的方法是进行一个非线性变换,将非线性问题变换为线性问题,...
1. 非线性分类问题
非线性分类问题是指通过利用非线性模型才能很好地进行分类的问题。
先看一个例子:

左图是一个分类问题,图中“·”表示正实例点,“x”表示负实例点。由图可见,无法用直线(线性模型)将正负实例正确分开,但可以用一条椭圆曲线(非线性模型)将它们正确分开。

非线性问题往往不好求解,所以希望能用解线性分类问题的方法解决这个问题。所采取的方法是进行一个非线性变换,将非线性问题变换为线性问题,通过解变换后的线性问题的方法求解原来的非线性问题。


变换成为新空间中的直线

上面的例子说明,用线性分类方法求解非线性分类问题分为两步:首先使用一个变换将原来空间的数据映射到新空间;然后在新空间里用线性分类学习方法从训练数据中学习分类模型。核技巧就属于这样的方法。
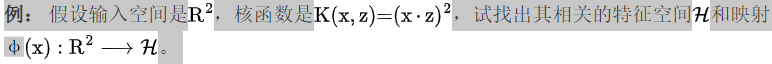
2. 核函数的定义


则称K(x,z)为核函数,Φ(x)为映射函数,Φ(x)⋅Φ(z)为Φ(x)和Φ(z)的内积。

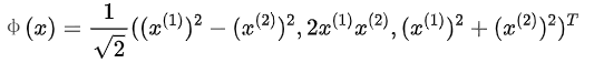
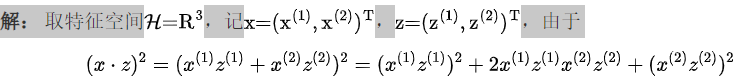
3. 核函数举例


所以可以取映射

容易验证






参考文献
【1】统计学习方法(第2版),李航著,清华大学出版社
【版权声明】本文为华为云社区用户转载文章,如果您发现本社区中有涉嫌抄袭的内容,欢迎发送邮件进行举报,并提供相关证据,一经查实,本社区将立刻删除涉嫌侵权内容,举报邮箱:
cloudbbs@huaweicloud.com
- 点赞
- 收藏
- 关注作者
评论(0)