学习笔记|合页损失函数
【摘要】 1. 合页损失函数介绍线性支持向量机学习还有另外一种解释,就是最小化以下目标函数:目标函数的第1项是经验损失或经验风险,函数称为合损失函数。下标“+”表示以下取正值的函数2. 正则化合页损失最优化与线性支持向量机最优化的等价性定理: 线性支持向量机原始最优化问题:等价于正则化合页损失最优化问题证明:正则化合页损失最优化问题可以写成原始最优化问题令则因此,正则化合页损失最优化问题可以写成等价于...
1. 合页损失函数介绍

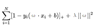
线性支持向量机学习还有另外一种解释,就是最小化以下目标函数:

目标函数的第1项是经验损失或经验风险,函数
称为合损失函数。下标“+”表示以下取正值的函数




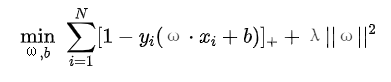
2. 正则化合页损失最优化与线性支持向量机最优化的等价性
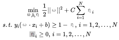
定理: 线性支持向量机原始最优化问题:
等价于正则化合页损失最优化问题

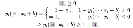
证明:
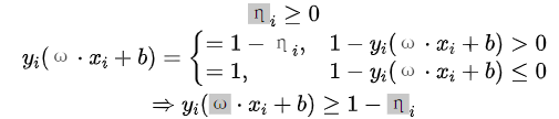
正则化合页损失最优化问题可以写成原始最优化问题
令
则
因此,正则化合页损失最优化问题可以写成


等价于原始最优化问题
反之,也可将正则化合页损失最优化问题写成原始最优化问题。
3. 合页损失函数图形解析

图形来源于参考文献2
图中还画出了0-1损失函数,可以认为它是二类分类问题的真正的损失函数,而合页损失函数0-1损失函数的上界。由于0-1损失函数不是连续可导的,直接优化由其构成的目标函数比较困难,可以认为线性支持向量机是优化由0-1损失函数的上界构成的目标函数。这时的上界损失函数又称为代理损失函数。

参考文献
【1】统计学习方法(第2版),李航著,清华大学出版社
【2】https://zhuanlan.zhihu.com/p/48752808
【版权声明】本文为华为云社区用户转载文章,如果您发现本社区中有涉嫌抄袭的内容,欢迎发送邮件进行举报,并提供相关证据,一经查实,本社区将立刻删除涉嫌侵权内容,举报邮箱:
cloudbbs@huaweicloud.com
- 点赞
- 收藏
- 关注作者
评论(0)